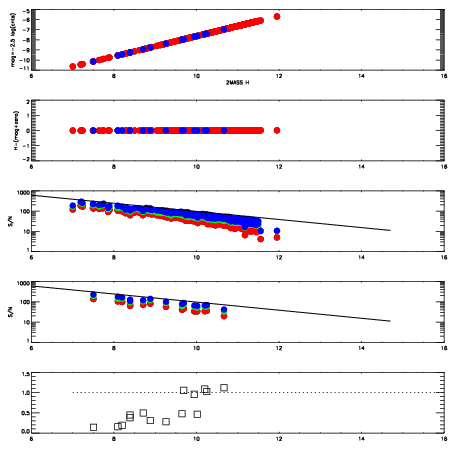
Left plots: red are targets, blue are telluric. Observed mags are calculated from median value of green chip. Zeropoint gives overall throughput: bigger number is more throughput.
First spatial plots: circles are objects, squares are tellurics, crosses are sky fibers. Colors give deviation of observed mag from expected 2MASS mag using the median zeropoint; red is brighter
Second spatial plots: circles are sky fibers. Colors give sky line brightness relative to plate median sky line brightness
FrameNreadsZeropointsMag plots Spatial mag deviation Spatial sky 16325A emission deviations (filled: sky, open: star) Spatial sky continuum emission Spatial sky telluric CO2 absorption deviations (filled: H < 10)
0 0
RedGreenBlue
z17.64
znorm Inf
sky -Inf -Inf -Inf
S/N 4.5 9.1 9.6
S/N(c) 0.0 0.0 0.0
SN(E/C) 0.46

IPAIRNAMESHIFTNEWSHIFTS/N NAMESHIFTNEWSHIFTS/N
0 19580051 0.00205897 0.00000 17.6369 19580050 -0.494874 0.496933 17.2808
1 19580048 0.00000 0.00205897 17.9440 19580053 -0.496963 0.499022 17.5455
2 19580052 0.00168865 0.000370320 17.4628 19580049 -0.494263 0.496322 17.2586