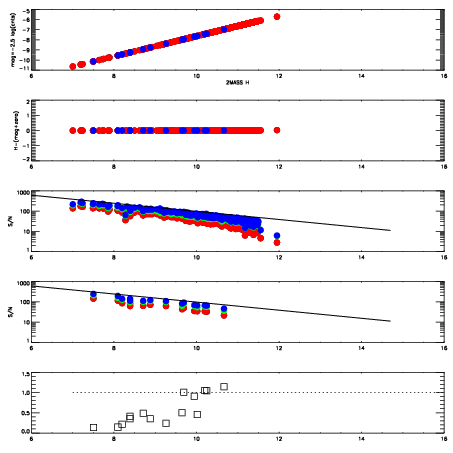
Left plots: red are targets, blue are telluric. Observed mags are calculated from median value of green chip. Zeropoint gives overall throughput: bigger number is more throughput.
First spatial plots: circles are objects, squares are tellurics, crosses are sky fibers. Colors give deviation of observed mag from expected 2MASS mag using the median zeropoint; red is brighter
Second spatial plots: circles are sky fibers. Colors give sky line brightness relative to plate median sky line brightness
FrameNreadsZeropointsMag plots Spatial mag deviation Spatial sky 16325A emission deviations (filled: sky, open: star) Spatial sky continuum emission Spatial sky telluric CO2 absorption deviations (filled: H < 10)
0 0
RedGreenBlue
z17.64
znorm Inf
sky -Inf -Inf -Inf
S/N 2.5 5.3 5.6
S/N(c) 0.0 0.0 0.0
SN(E/C) 0.46

IPAIRNAMESHIFTNEWSHIFTS/N NAMESHIFTNEWSHIFTS/N
0 19600061 0.499075 0.00000 17.0730 19600063 0.00603415 0.493041 17.1015
1 19600066 0.498610 0.000465006 17.9647 19600065 0.00621503 0.492860 17.9382
2 19600062 0.498917 0.000157982 17.5693 19600060 0.00000 0.499075 17.2572