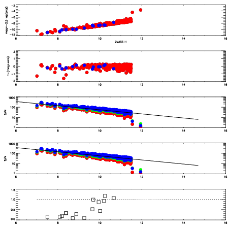
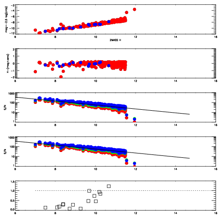
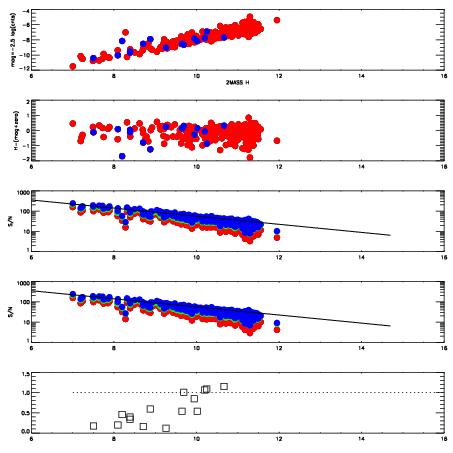
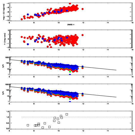
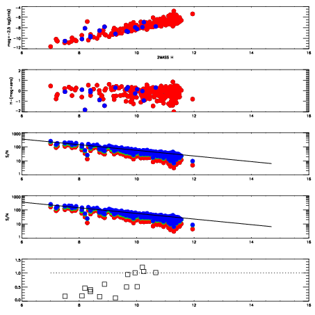
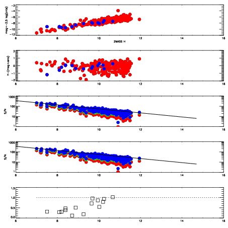
Left plots: red are targets, blue are telluric. Observed mags are calculated from median value of green chip. Zeropoint gives overall throughput: bigger number is more throughput.
First spatial plots: circles are objects, squares are tellurics, crosses are sky fibers. Colors give deviation of observed mag from expected 2MASS mag using the median zeropoint; red is brighter
Second spatial plots: circles are sky fibers. Colors give sky line brightness relative to plate median sky line brightness
FrameNreadsZeropointsMag plots Spatial mag deviation Spatial sky 16325A emission deviations (filled: sky, open: star) Spatial sky continuum emission Spatial sky telluric CO2 absorption deviations (filled: H < 10)
19760023 42
RedGreenBlue
z17.84
znorm13.78
sky 14.4 14.3 14.1
S/N 12.7 19.5 22.5
S/N(c) 8.7 11.0 8.4
SN(E/C) 0.48
19760024 42
RedGreenBlue
z17.84
znorm13.78
sky 14.5 14.3 14.3
S/N 12.5 20.0 22.8
S/N(c) 8.7 11.0 8.2
SN(E/C) 0.51
19760025 42
RedGreenBlue
z18.03
znorm13.98
sky 14.4 14.5 14.6
S/N 4.4 8.6 9.2
S/N(c) 10.5 12.3 9.3
SN(E/C) 0.54
19760026 42
RedGreenBlue
z18.13
znorm14.07
sky 14.6 14.4 14.3
S/N 4.4 8.4 8.6
S/N(c) 10.9 12.8 9.8
SN(E/C) 0.50
19760027 42
RedGreenBlue
z18.77
znorm14.71
sky 14.5 14.3 14.2
S/N 0.9 2.1 1.8
S/N(c) 16.7 18.4 14.1
SN(E/C) 0.32
19760028 42
RedGreenBlue
z18.67
znorm14.61
sky 14.6 14.4 14.1
S/N 1.1 2.1 1.5
S/N(c) 15.8 17.7 13.4
SN(E/C) 0.34