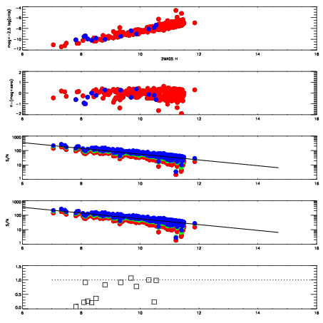
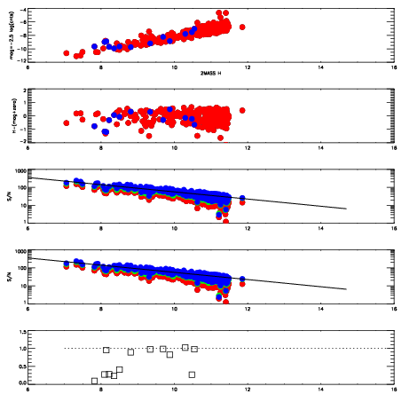
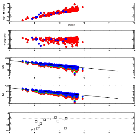
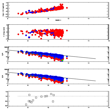
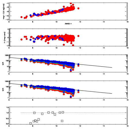
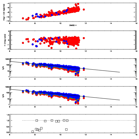
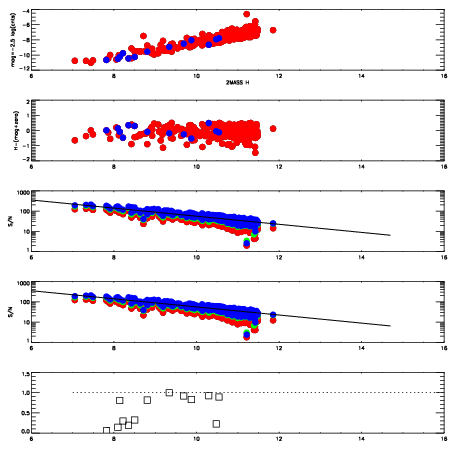
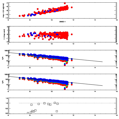
Frame | Nreads | Zeropoints | Mag plots
| Spatial mag deviation
| Spatial sky 16325A emission deviations (filled: sky, open: star)
| Spatial sky continuum emission
| Spatial sky telluric CO2 absorption deviations (filled: H < 10)
|
20140010
| 42
| | Red | Green | Blue
| z | | 18.38
| znorm | | 14.33
| sky | 14.2 | 14.3 | 14.5
| S/N | 10.3 | 18.1 | 19.3
| S/N(c) | 14.9 | 16.4 | 8.0
| SN(E/C) | 0.75
|
|
|
|
|
|
|
20140011
| 42
| | Red | Green | Blue
| z | | 18.33
| znorm | | 14.27
| sky | 14.3 | 14.6 | 14.6
| S/N | 10.0 | 17.8 | 18.8
| S/N(c) | 13.9 | 15.4 | 7.7
| SN(E/C) | 0.85
|
|
|
|
|
|
|
20140012
| 42
| | Red | Green | Blue
| z | | 18.13
| znorm | | 14.07
| sky | 14.3 | 14.6 | 14.7
| S/N | 11.2 | 19.2 | 20.1
| S/N(c) | 12.6 | 14.5 | 7.1
| SN(E/C) | 0.84
|
|
|
|
|
|
|
20140013
| 42
| | Red | Green | Blue
| z | | 18.53
| znorm | | 14.47
| sky | 14.5 | 14.7 | 14.7
| S/N | 14.4 | 23.5 | 24.8
| S/N(c) | 16.4 | 17.8 | 8.8
| SN(E/C) | 0.77
|
|
|
|
|
|
|
20140014
| 42
| | Red | Green | Blue
| z | | 18.37
| znorm | | 14.31
| sky | 14.6 | 14.8 | 14.8
| S/N | 6.6 | 12.1 | 12.7
| S/N(c) | 14.6 | 16.1 | 7.9
| SN(E/C) | 0.79
|
|
|
|
|
|
|
20140015
| 42
| | Red | Green | Blue
| z | | 18.34
| znorm | | 14.28
| sky | 14.6 | 14.6 | 14.8
| S/N | 6.3 | 12.4 | 12.9
| S/N(c) | 14.4 | 16.1 | 7.8
| SN(E/C) | 0.78
|
|
|
|
|
|
|
20140016
| 42
| | Red | Green | Blue
| z | | 18.38
| znorm | | 14.32
| sky | 14.7 | 14.7 | 14.7
| S/N | 11.5 | 19.5 | 20.3
| S/N(c) | 14.6 | 16.1 | 7.9
| SN(E/C) | 0.75
|
|
|
|
|
|
|
20140017
| 42
| | Red | Green | Blue
| z | | 18.45
| znorm | | 14.40
| sky | 14.5 | 14.7 | 14.8
| S/N | 12.2 | 20.4 | 21.2
| S/N(c) | 15.3 | 16.8 | 8.2
| SN(E/C) | 0.80
|
|
|
|
|
|
|
20140018
| 42
| | Red | Green | Blue
| z | | 18.24
| znorm | | 14.18
| sky | 14.5 | 14.8 | 14.8
| S/N | 12.2 | 21.1 | 21.9
| S/N(c) | 13.9 | 15.4 | 7.3
| SN(E/C) | 0.82
|
|
|
|
|
|
|
20140019
| 42
| | Red | Green | Blue
| z | | 18.28
| znorm | | 14.22
| sky | 14.5 | 14.8 | 14.8
| S/N | 12.7 | 21.9 | 23.0
| S/N(c) | 13.9 | 15.5 | 7.5
| SN(E/C) | 0.93
|
|
|
|
|
|
|
20140020
| 42
| | Red | Green | Blue
| z | | 18.21
| znorm | | 14.15
| sky | 14.5 | 14.8 | 14.9
| S/N | 12.0 | 20.4 | 21.7
| S/N(c) | 13.2 | 14.6 | 7.1
| SN(E/C) | 0.76
|
|
|
|
|
|
|
20140021
| 42
| | Red | Green | Blue
| z | | 18.19
| znorm | | 14.14
| sky | 14.6 | 14.9 | 14.9
| S/N | 12.7 | 21.2 | 22.1
| S/N(c) | 13.0 | 14.6 | 7.0
| SN(E/C) | 0.84
|
|
|
|
|
|
|
20140022
| 42
| | Red | Green | Blue
| z | | 17.19
| znorm | | 13.14
| sky | 15.9 | 15.6 | 15.9
| S/N | 4.1 | 10.2 | 9.4
| S/N(c) | 4.9 | 7.9 | 3.6
| SN(E/C) | 0.86
|
|
|
|
|
|
|