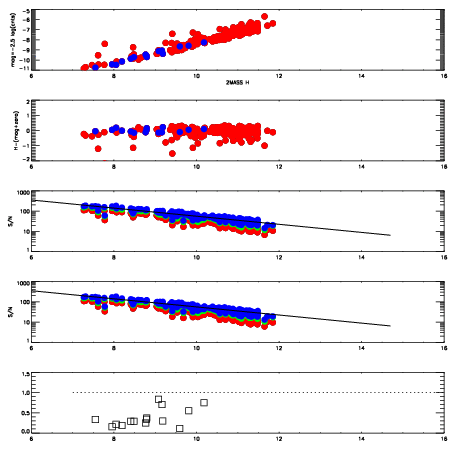
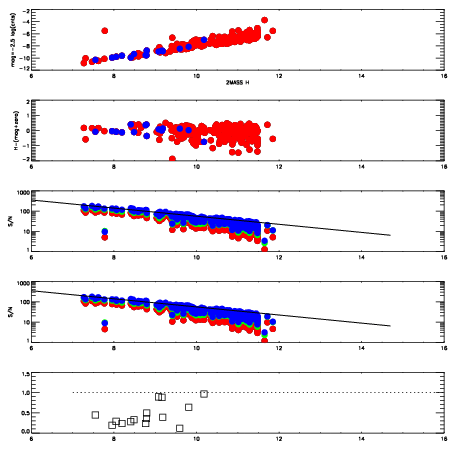
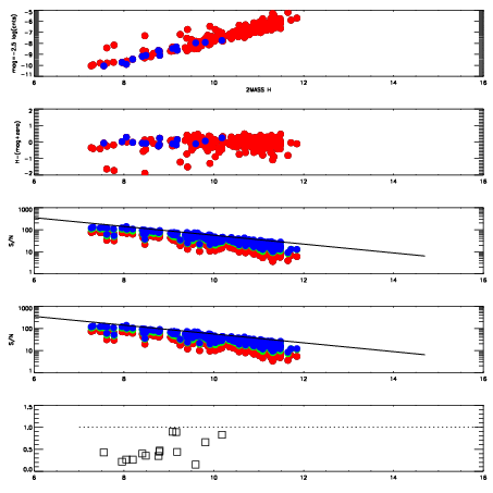
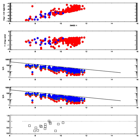
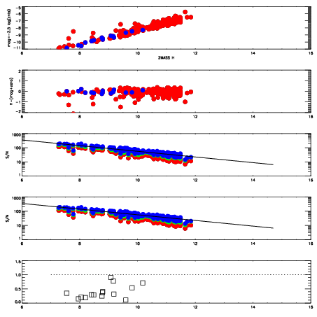
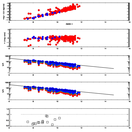
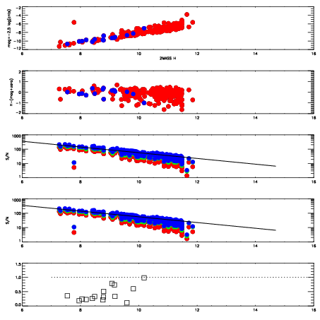
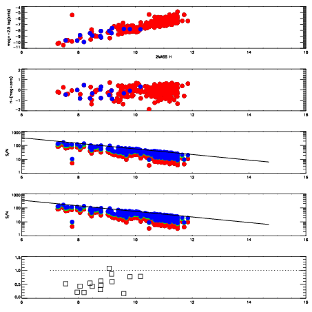
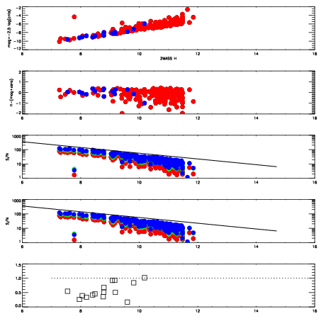
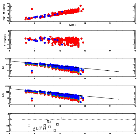
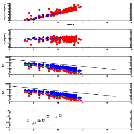
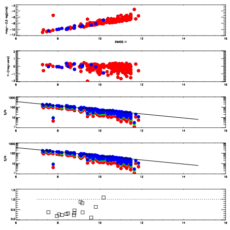
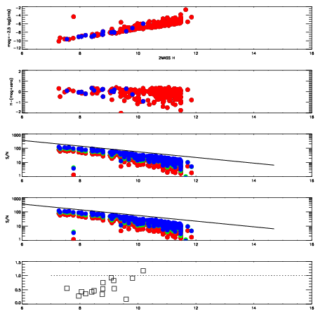
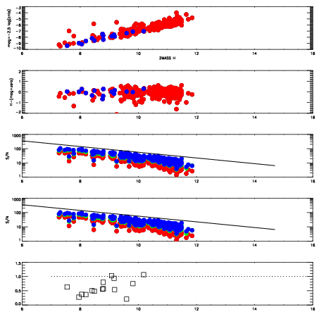
Frame | Nreads | Zeropoints | Mag plots
| Spatial mag deviation
| Spatial sky 16325A emission deviations (filled: sky, open: star)
| Spatial sky continuum emission
| Spatial sky telluric CO2 absorption deviations (filled: H < 10)
|
19880011
| 42
| | Red | Green | Blue
| z | | 18.39
| znorm | | 14.33
| sky | 14.3 | 14.5 | 14.3
| S/N | 9.9 | 17.7 | 18.3
| S/N(c) | 14.8 | 22.5 | 15.7
| SN(E/C) | 0.31
|
|
|
|
|
|
|
19880012
| 42
| | Red | Green | Blue
| z | | 18.34
| znorm | | 14.28
| sky | 14.2 | 14.5 | 14.7
| S/N | 10.0 | 17.3 | 17.7
| S/N(c) | 14.2 | 21.5 | 15.0
| SN(E/C) | 0.30
|
|
|
|
|
|
|
19880013
| 42
| | Red | Green | Blue
| z | | 18.22
| znorm | | 14.16
| sky | 14.6 | 14.6 | 14.7
| S/N | 10.2 | 18.5 | 18.9
| S/N(c) | 12.3 | 19.5 | 13.7
| SN(E/C) | 0.33
|
|
|
|
|
|
|
19880014
| 42
| | Red | Green | Blue
| z | | 17.91
| znorm | | 13.85
| sky | 14.8 | 14.7 | 14.6
| S/N | 8.7 | 15.8 | 16.7
| S/N(c) | 10.0 | 16.4 | 11.5
| SN(E/C) | 0.40
|
|
|
|
|
|
|
19880015
| 42
| | Red | Green | Blue
| z | | 17.67
| znorm | | 13.61
| sky | 14.4 | 14.6 | 14.5
| S/N | 9.3 | 16.7 | 17.2
| S/N(c) | 9.0 | 15.0 | 10.4
| SN(E/C) | 0.52
|
|
|
|
|
|
|
19880016
| 42
| | Red | Green | Blue
| z | | 17.52
| znorm | | 13.47
| sky | 14.8 | 14.7 | 14.5
| S/N | 8.4 | 15.5 | 16.1
| S/N(c) | 8.1 | 13.6 | 9.6
| SN(E/C) | 0.54
|
|
|
|
|
|
|
19880017
| 42
| | Red | Green | Blue
| z | | 17.66
| znorm | | 13.60
| sky | 14.4 | 14.6 | 14.5
| S/N | 5.7 | 11.1 | 11.0
| S/N(c) | 8.9 | 15.0 | 10.5
| SN(E/C) | 0.43
|
|
|
|
|
|
|
19880018
| 42
| | Red | Green | Blue
| z | | 18.11
| znorm | | 14.05
| sky | 14.4 | 14.6 | 14.6
| S/N | 8.3 | 15.2 | 15.3
| S/N(c) | 11.9 | 19.3 | 13.5
| SN(E/C) | 0.34
|
|
|
|
|
|
|
19880019
| 42
| | Red | Green | Blue
| z | | 17.93
| znorm | | 13.87
| sky | 14.4 | 14.7 | 14.9
| S/N | 9.3 | 16.9 | 17.4
| S/N(c) | 10.0 | 16.6 | 11.7
| SN(E/C) | 0.36
|
|
|
|
|
|
|
19880020
| 42
| | Red | Green | Blue
| z | | 18.01
| znorm | | 13.95
| sky | 14.6 | 14.7 | 14.6
| S/N | 9.6 | 16.8 | 17.4
| S/N(c) | 10.6 | 17.2 | 12.1
| SN(E/C) | 0.33
|
|
|
|
|
|
|
19880021
| 42
| | Red | Green | Blue
| z | | 17.54
| znorm | | 13.48
| sky | 14.7 | 14.8 | 14.7
| S/N | 9.2 | 16.0 | 16.8
| S/N(c) | 8.4 | 14.1 | 10.0
| SN(E/C) | 0.56
|
|
|
|
|
|
|
19880022
| 42
| | Red | Green | Blue
| z | | 16.72
| znorm | | 12.66
| sky | 14.4 | 14.7 | 14.8
| S/N | 4.6 | 9.3 | 9.5
| S/N(c) | 4.4 | 8.4 | 5.8
| SN(E/C) | 0.70
|
|
|
|
|
|
|
19880023
| 42
| | Red | Green | Blue
| z | | 16.91
| znorm | | 12.85
| sky | 14.8 | 14.9 | 14.7
| S/N | 2.9 | 6.2 | 6.4
| S/N(c) | 4.8 | 9.3 | 6.6
| SN(E/C) | 0.55
|
|
|
|
|
|
|
19880024
| 42
| | Red | Green | Blue
| z | | 16.40
| znorm | | 12.34
| sky | 14.4 | 14.5 | 14.9
| S/N | 2.0 | 4.3 | 3.9
| S/N(c) | 3.3 | 6.7 | 4.6
| SN(E/C) | 0.64
|
|
|
|
|
|
|
19880025
| 42
| | Red | Green | Blue
| z | | 17.10
| znorm | | 13.04
| sky | 14.6 | 14.6 | 14.8
| S/N | 4.6 | 8.8 | 8.6
| S/N(c) | 5.4 | 9.9 | 6.9
| SN(E/C) | 0.53
|
|
|
|
|
|
|
19880026
| 42
| | Red | Green | Blue
| z | | 17.14
| znorm | | 13.08
| sky | 14.4 | 14.6 | 14.8
| S/N | 4.8 | 9.7 | 9.4
| S/N(c) | 5.4 | 10.3 | 7.1
| SN(E/C) | 0.51
|
|
|
|
|
|
|
19880027
| 42
| | Red | Green | Blue
| z | | 17.06
| znorm | | 13.00
| sky | 14.7 | 14.8 | 14.6
| S/N | 5.9 | 11.4 | 12.1
| S/N(c) | 5.7 | 10.4 | 7.2
| SN(E/C) | 0.62
|
|
|
|
|
|
|
19880028
| 42
| | Red | Green | Blue
| z | | 17.05
| znorm | | 12.99
| sky | 14.4 | 14.8 | 14.8
| S/N | 5.6 | 11.4 | 11.8
| S/N(c) | 5.4 | 10.3 | 7.1
| SN(E/C) | 0.62
|
|
|
|
|
|
|
19880029
| 42
| | Red | Green | Blue
| z | | 15.90
| znorm | | 11.84
| sky | 14.4 | 14.8 | 14.8
| S/N | 1.2 | 2.8 | 2.2
| S/N(c) | 2.1 | 4.7 | 3.2
| SN(E/C) | 0.83
|
|
|
|
|
|
|
19880030
| 42
| | Red | Green | Blue
| z | | 16.44
| znorm | | 12.38
| sky | 14.8 | 14.8 | 15.1
| S/N | 1.5 | 4.0 | 3.4
| S/N(c) | 3.4 | 7.1 | 4.8
| SN(E/C) | 0.69
|
|
|
|
|
|
|