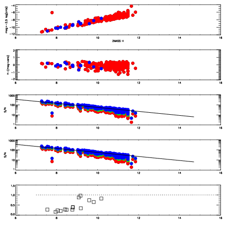
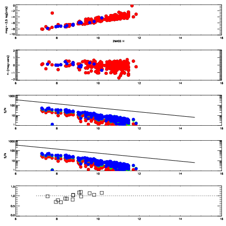
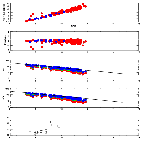
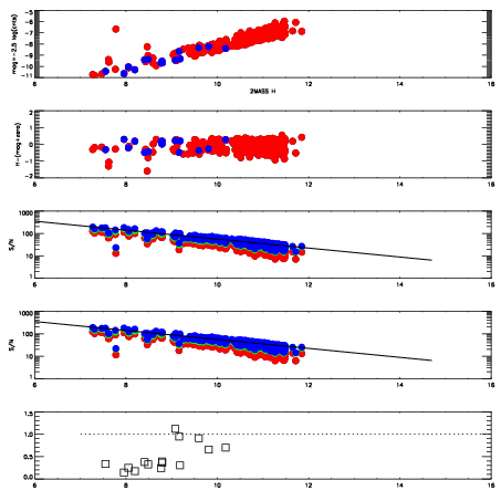
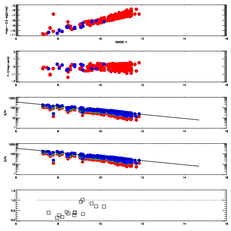
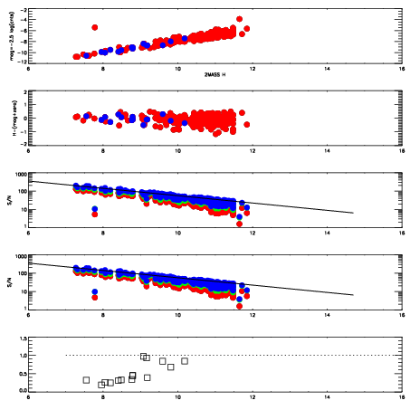
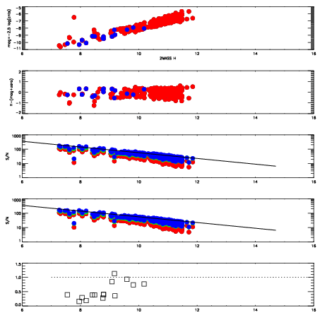
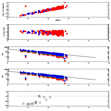
Frame | Nreads | Zeropoints | Mag plots
| Spatial mag deviation
| Spatial sky 16325A emission deviations (filled: sky, open: star)
| Spatial sky continuum emission
| Spatial sky telluric CO2 absorption deviations (filled: H < 10)
|
20060011
| 42
| | Red | Green | Blue
| z | | 17.98
| znorm | | 13.92
| sky | 14.4 | 14.3 | 14.4
| S/N | 10.2 | 18.4 | 19.7
| S/N(c) | 9.7 | 13.8 | 9.1
| SN(E/C) | 0.39
|
|
|
|
|
|
|
20060012
| 42
| | Red | Green | Blue
| z | | 15.21
| znorm | | 11.15
| sky | 14.6 | 14.7 | 14.6
| S/N | 1.2 | 2.9 | 3.4
| S/N(c) | 1.0 | 2.2 | 1.3
| SN(E/C) | 0.98
|
|
|
|
|
|
|
20060013
| 42
| | Red | Green | Blue
| z | | 17.95
| znorm | | 13.89
| sky | 14.5 | 14.5 | 14.5
| S/N | 10.7 | 18.6 | 19.4
| S/N(c) | 9.8 | 14.1 | 9.0
| SN(E/C) | 0.39
|
|
|
|
|
|
|
20060014
| 42
| | Red | Green | Blue
| z | | 18.15
| znorm | | 14.10
| sky | 14.5 | 14.4 | 14.4
| S/N | 11.8 | 20.4 | 21.4
| S/N(c) | 11.2 | 15.5 | 10.0
| SN(E/C) | 0.40
|
|
|
|
|
|
|
20060015
| 42
| | Red | Green | Blue
| z | | 18.01
| znorm | | 13.95
| sky | 14.8 | 14.6 | 14.5
| S/N | 7.0 | 13.3 | 13.6
| S/N(c) | 10.0 | 14.5 | 9.2
| SN(E/C) | 0.40
|
|
|
|
|
|
|
20060016
| 42
| | Red | Green | Blue
| z | | 18.08
| znorm | | 14.03
| sky | 14.7 | 14.9 | 14.7
| S/N | 7.1 | 13.3 | 13.9
| S/N(c) | 10.6 | 15.2 | 9.8
| SN(E/C) | 0.34
|
|
|
|
|
|
|
20060017
| 42
| | Red | Green | Blue
| z | | 18.30
| znorm | | 14.24
| sky | 14.8 | 14.9 | 15.0
| S/N | 10.8 | 19.5 | 20.8
| S/N(c) | 11.8 | 16.3 | 10.5
| SN(E/C) | 0.34
|
|
|
|
|
|
|
20060018
| 42
| | Red | Green | Blue
| z | | 18.34
| znorm | | 14.28
| sky | 14.7 | 14.8 | 14.7
| S/N | 10.9 | 19.7 | 20.9
| S/N(c) | 12.0 | 16.8 | 10.9
| SN(E/C) | 0.36
|
|
|
|
|
|
|
20060019
| 42
| | Red | Green | Blue
| z | | 18.30
| znorm | | 14.24
| sky | 14.7 | 15.0 | 14.8
| S/N | 12.5 | 21.3 | 22.8
| S/N(c) | 12.2 | 16.7 | 10.8
| SN(E/C) | 0.36
|
|
|
|
|
|
|
20060020
| 42
| | Red | Green | Blue
| z | | 16.92
| znorm | | 12.86
| sky | 14.7 | 14.7 | 14.8
| S/N | 5.0 | 10.0 | 10.0
| S/N(c) | 4.6 | 7.9 | 4.9
| SN(E/C) | 0.61
|
|
|
|
|
|
|
20060021
| 42
| | Red | Green | Blue
| z | | 13.25
| znorm | | 9.19
| sky | 14.9 | 15.2 | 14.9
| S/N | 0.2 | 0.2 | 0.3
| S/N(c) | 0.0 | 0.0 | 0.0
| SN(E/C) | 1.08
|
|
|
|
|
|
|
20060022
| 42
| | Red | Green | Blue
| z | | 14.53
| znorm | | 10.47
| sky | 14.6 | 14.9 | 14.9
| S/N | 0.3 | 0.9 | 0.8
| S/N(c) | 0.5 | 1.3 | 0.7
| SN(E/C) | 0.92
|
|
|
|
|
|
|