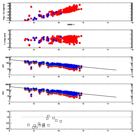
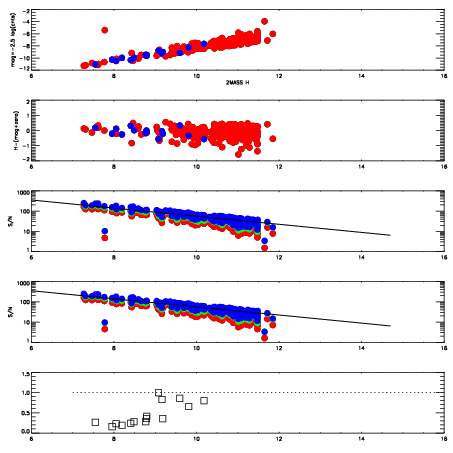
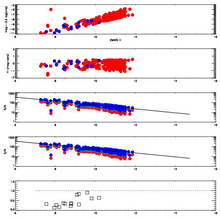
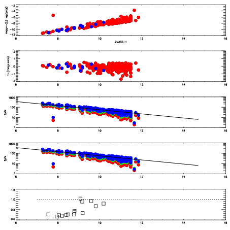
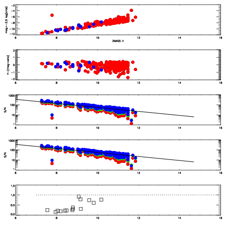
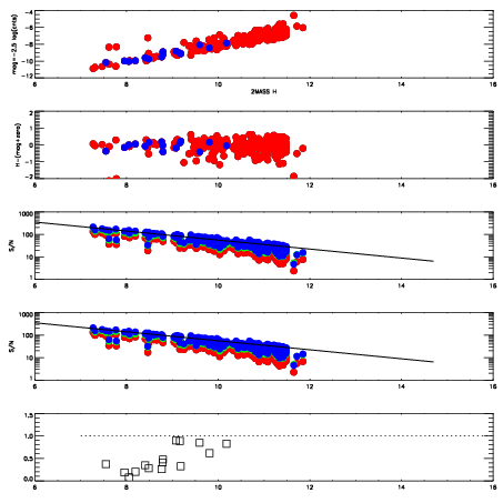
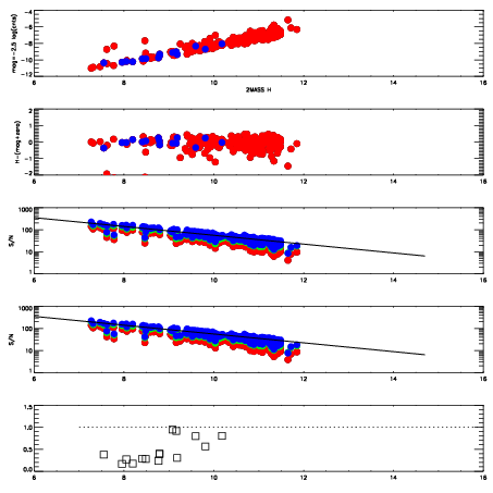
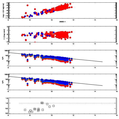
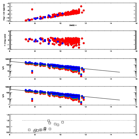
Frame | Nreads | Zeropoints | Mag plots
| Spatial mag deviation
| Spatial sky 16325A emission deviations (filled: sky, open: star)
| Spatial sky continuum emission
| Spatial sky telluric CO2 absorption deviations (filled: H < 10)
|
20070011
| 42
| | Red | Green | Blue
| z | | 18.42
| znorm | | 14.36
| sky | 14.1 | 14.0 | 14.1
| S/N | 13.6 | 23.2 | 24.9
| S/N(c) | 12.7 | 17.1 | 11.3
| SN(E/C) | 0.33
|
|
|
|
|
|
|
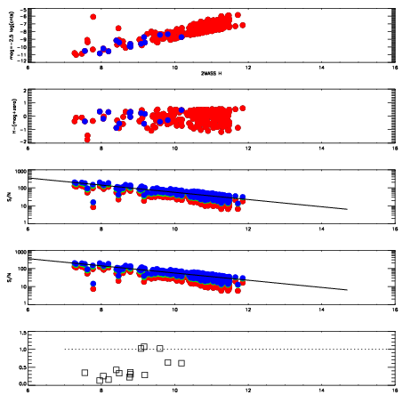
20070012
| 42
| | Red | Green | Blue
| z | | 18.42
| znorm | | 14.36
| sky | 14.5 | 14.3 | 14.2
| S/N | 13.3 | 23.1 | 24.8
| S/N(c) | 12.8 | 17.2 | 11.2
| SN(E/C) | 0.36
|
|
|
|
|
|
|
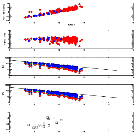
20070013
| 42
| | Red | Green | Blue
| z | | 18.28
| znorm | | 14.22
| sky | 14.5 | 14.3 | 14.0
| S/N | 14.3 | 23.4 | 24.9
| S/N(c) | 12.1 | 16.5 | 10.9
| SN(E/C) | 0.34
|
|
|
|
|
|
|
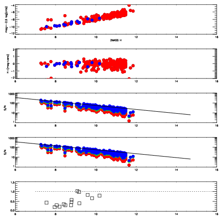
20070014
| 42
| | Red | Green | Blue
| z | | 18.05
| znorm | | 13.99
| sky | 14.4 | 14.2 | 14.0
| S/N | 11.6 | 19.8 | 20.8
| S/N(c) | 10.1 | 14.3 | 9.3
| SN(E/C) | 0.44
|
|
|
|
|
|
|
20070015
| 42
| | Red | Green | Blue
| z | | 18.27
| znorm | | 14.21
| sky | 14.5 | 14.5 | 14.2
| S/N | 8.2 | 15.2 | 16.3
| S/N(c) | 11.6 | 16.8 | 10.8
| SN(E/C) | 0.38
|
|
|
|
|
|
|
20070016
| 42
| | Red | Green | Blue
| z | | 17.76
| znorm | | 13.70
| sky | 14.4 | 14.3 | 14.2
| S/N | 5.6 | 11.0 | 11.5
| S/N(c) | 8.2 | 12.7 | 8.1
| SN(E/C) | 0.42
|
|
|
|
|
|
|
20070017
| 42
| | Red | Green | Blue
| z | | 18.57
| znorm | | 14.51
| sky | 14.5 | 14.4 | 14.3
| S/N | 13.9 | 24.0 | 25.7
| S/N(c) | 13.6 | 18.4 | 12.0
| SN(E/C) | 0.32
|
|
|
|
|
|
|
20070018
| 42
| | Red | Green | Blue
| z | | 18.61
| znorm | | 14.55
| sky | 14.5 | 14.4 | 14.3
| S/N | 14.5 | 24.5 | 26.6
| S/N(c) | 13.9 | 18.7 | 12.3
| SN(E/C) | 0.31
|
|
|
|
|
|
|
20070019
| 42
| | Red | Green | Blue
| z | | 18.44
| znorm | | 14.38
| sky | 14.5 | 14.5 | 14.3
| S/N | 15.2 | 24.8 | 26.7
| S/N(c) | 13.3 | 18.2 | 11.5
| SN(E/C) | 0.35
|
|
|
|
|
|
|
20070020
| 42
| | Red | Green | Blue
| z | | 18.41
| znorm | | 14.35
| sky | 14.4 | 14.5 | 14.2
| S/N | 14.3 | 23.8 | 25.3
| S/N(c) | 12.9 | 17.7 | 11.4
| SN(E/C) | 0.33
|
|
|
|
|
|
|
20070021
| 42
| | Red | Green | Blue
| z | | 18.09
| znorm | | 14.03
| sky | 14.4 | 14.4 | 14.2
| S/N | 6.6 | 12.6 | 13.2
| S/N(c) | 10.5 | 15.4 | 9.6
| SN(E/C) | 0.37
|
|
|
|
|
|
|
20070022
| 42
| | Red | Green | Blue
| z | | 17.86
| znorm | | 13.80
| sky | 14.4 | 14.4 | 14.2
| S/N | 5.1 | 10.4 | 10.9
| S/N(c) | 8.9 | 13.5 | 8.6
| SN(E/C) | 0.44
|
|
|
|
|
|
|