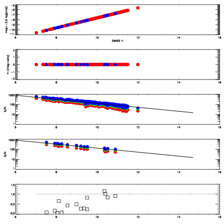
Left plots: red are targets, blue are telluric. Observed mags are calculated from median value of green chip. Zeropoint gives overall throughput: bigger number is more throughput.
First spatial plots: circles are objects, squares are tellurics, crosses are sky fibers. Colors give deviation of observed mag from expected 2MASS mag using the median zeropoint; red is brighter
Second spatial plots: circles are sky fibers. Colors give sky line brightness relative to plate median sky line brightness
FrameNreadsZeropointsMag plots Spatial mag deviation Spatial sky 16325A emission deviations (filled: sky, open: star) Spatial sky continuum emission Spatial sky telluric CO2 absorption deviations (filled: H < 10)
0 0
RedGreenBlue
z17.64
znorm Inf
sky -Inf -NaN -NaN
S/N 20.3 31.6 39.0
S/N(c) 0.0 0.0 0.0
SN(E/C) 0.43

IPAIRNAMESHIFTNEWSHIFTS/N NAMESHIFTNEWSHIFTS/N
0 19760019 0.503449 0.00000 18.7513 19760010 0.00000 0.503449 18.7417
1 19760012 0.496764 0.00668502 18.8356 19760013 0.00302373 0.500425 18.9003
2 19760011 0.496091 0.00735801 18.7825 19760018 0.00473826 0.498711 18.8092
3 19760016 0.500176 0.00327301 17.7670 19760017 0.00536459 0.498084 17.7924
4 19760015 0.499017 0.00443202 17.6400 19760014 0.00417372 0.499275 17.6218