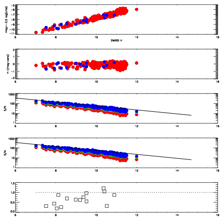
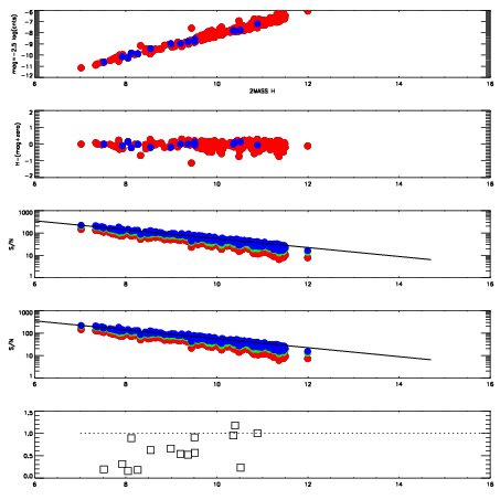
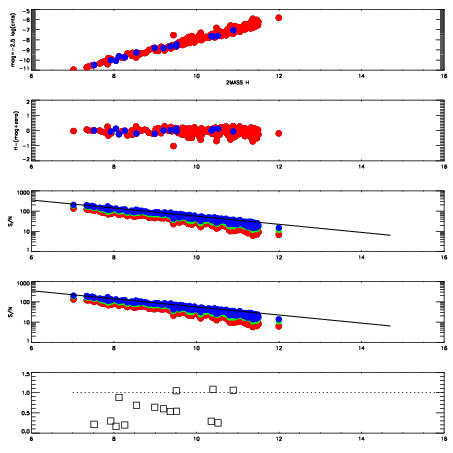
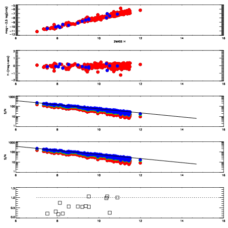
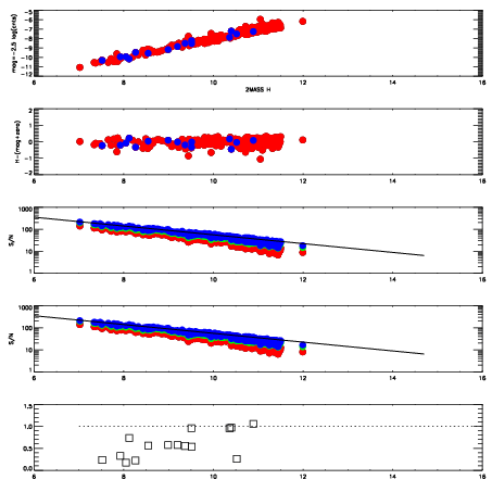
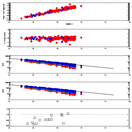
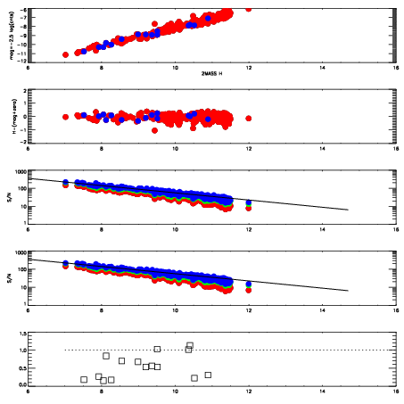
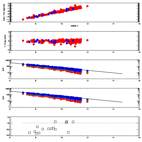
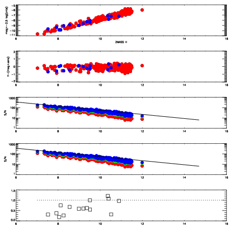
Frame | Nreads | Zeropoints | Mag plots
| Spatial mag deviation
| Spatial sky 16325A emission deviations (filled: sky, open: star)
| Spatial sky continuum emission
| Spatial sky telluric CO2 absorption deviations (filled: H < 10)
|
19820020
| 42
| | Red | Green | Blue
| z | | 18.18
| znorm | | 14.12
| sky | 14.5 | 14.3 | 14.2
| S/N | 9.1 | 14.1 | 17.3
| S/N(c) | 11.8 | 16.9 | 12.4
| SN(E/C) | 0.56
|
|
|
|
|
|
|
19820021
| 42
| | Red | Green | Blue
| z | | 18.08
| znorm | | 14.02
| sky | 14.4 | 14.5 | 14.3
| S/N | 8.6 | 14.0 | 16.8
| S/N(c) | 11.2 | 16.2 | 12.0
| SN(E/C) | 0.56
|
|
|
|
|
|
|
19820022
| 42
| | Red | Green | Blue
| z | | 18.19
| znorm | | 14.13
| sky | 14.7 | 14.5 | 14.4
| S/N | 8.9 | 14.5 | 17.8
| S/N(c) | 11.6 | 16.1 | 12.3
| SN(E/C) | 0.51
|
|
|
|
|
|
|
19820023
| 42
| | Red | Green | Blue
| z | | 18.08
| znorm | | 14.02
| sky | 14.7 | 14.6 | 14.6
| S/N | 7.9 | 13.3 | 16.4
| S/N(c) | 10.6 | 15.7 | 11.7
| SN(E/C) | 0.58
|
|
|
|
|
|
|
19820024
| 42
| | Red | Green | Blue
| z | | 18.20
| znorm | | 14.14
| sky | 15.0 | 14.6 | 14.5
| S/N | 7.1 | 12.2 | 15.2
| S/N(c) | 11.5 | 17.0 | 12.4
| SN(E/C) | 0.53
|
|
|
|
|
|
|
19820025
| 42
| | Red | Green | Blue
| z | | 18.30
| znorm | | 14.24
| sky | 14.7 | 14.5 | 14.6
| S/N | 8.1 | 13.3 | 16.1
| S/N(c) | 12.3 | 17.7 | 13.1
| SN(E/C) | 0.54
|
|
|
|
|
|
|
19820026
| 42
| | Red | Green | Blue
| z | | 18.04
| znorm | | 13.98
| sky | 14.9 | 14.8 | 14.7
| S/N | 8.0 | 13.5 | 16.4
| S/N(c) | 10.9 | 16.0 | 12.0
| SN(E/C) | 0.54
|
|
|
|
|
|
|
19820027
| 42
| | Red | Green | Blue
| z | | 18.06
| znorm | | 14.01
| sky | 14.8 | 14.7 | 14.8
| S/N | 8.1 | 13.4 | 16.4
| S/N(c) | 11.0 | 16.2 | 12.2
| SN(E/C) | 0.56
|
|
|
|
|
|
|
19820028
| 42
| | Red | Green | Blue
| z | | 17.87
| znorm | | 13.81
| sky | 15.4 | 15.1 | 14.9
| S/N | 7.0 | 12.1 | 14.7
| S/N(c) | 9.2 | 14.0 | 10.4
| SN(E/C) | 0.60
|
|
|
|
|
|
|
19820029
| 42
| | Red | Green | Blue
| z | | 17.82
| znorm | | 13.76
| sky | 15.0 | 14.8 | 15.0
| S/N | 6.8 | 11.8 | 14.3
| S/N(c) | 9.0 | 13.6 | 10.2
| SN(E/C) | 0.64
|
|
|
|
|
|
|
19820030
| 42
| | Red | Green | Blue
| z | | 18.00
| znorm | | 13.94
| sky | 15.0 | 14.9 | 15.1
| S/N | 6.2 | 10.7 | 13.6
| S/N(c) | 10.2 | 15.4 | 11.4
| SN(E/C) | 0.54
|
|
|
|
|
|
|
19820031
| 42
| | Red | Green | Blue
| z | | 18.16
| znorm | | 14.10
| sky | 14.8 | 15.0 | 14.9
| S/N | 7.2 | 12.4 | 15.1
| S/N(c) | 11.3 | 16.7 | 12.4
| SN(E/C) | 0.56
|
|
|
|
|
|
|