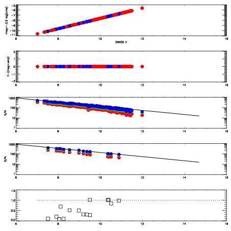
Left plots: red are targets, blue are telluric. Observed mags are calculated from median value of green chip. Zeropoint gives overall throughput: bigger number is more throughput.
First spatial plots: circles are objects, squares are tellurics, crosses are sky fibers. Colors give deviation of observed mag from expected 2MASS mag using the median zeropoint; red is brighter
Second spatial plots: circles are sky fibers. Colors give sky line brightness relative to plate median sky line brightness
FrameNreadsZeropointsMag plots Spatial mag deviation Spatial sky 16325A emission deviations (filled: sky, open: star) Spatial sky continuum emission Spatial sky telluric CO2 absorption deviations (filled: H < 10)
0 0
RedGreenBlue
z17.64
znorm Inf
sky -Inf -Inf -NaN
S/N 17.1 29.7 35.9
S/N(c) 0.0 0.0 0.0
SN(E/C) 0.50

IPAIRNAMESHIFTNEWSHIFTS/N NAMESHIFTNEWSHIFTS/N
0 19820024 0.00166798 0.00000 18.1553 19820025 -0.488160 0.489828 18.2664
1 19820031 0.000147951 0.00152003 18.1485 19820022 -0.516427 0.518095 18.1372
2 19820020 0.00000 0.00166798 18.1273 19820021 -0.490909 0.492577 18.0512
3 19820027 -9.08493e-05 0.00175883 18.0380 19820026 -0.488840 0.490508 18.0204
4 19820023 0.000736122 0.000931858 18.0254 19820030 -0.488689 0.490357 17.9943
5 19820028 0.00119732 0.000470660 17.8308 19820029 -0.489038 0.490706 17.7825