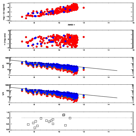
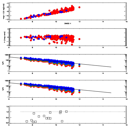
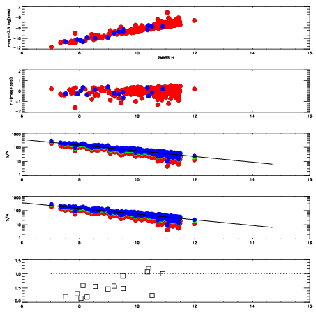
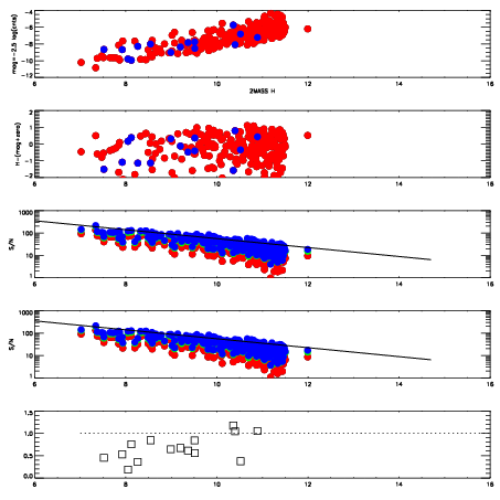
Left plots: red are targets, blue are telluric. Observed mags are calculated from median value of green chip. Zeropoint gives overall throughput: bigger number is more throughput.
First spatial plots: circles are objects, squares are tellurics, crosses are sky fibers. Colors give deviation of observed mag from expected 2MASS mag using the median zeropoint; red is brighter
Second spatial plots: circles are sky fibers. Colors give sky line brightness relative to plate median sky line brightness
FrameNreadsZeropointsMag plots Spatial mag deviation Spatial sky 16325A emission deviations (filled: sky, open: star) Spatial sky continuum emission Spatial sky telluric CO2 absorption deviations (filled: H < 10)
19900044 42
RedGreenBlue
z18.57
znorm14.51
sky 14.4 14.2 14.4
S/N 8.2 13.1 16.6
S/N(c) 14.3 20.2 15.4
SN(E/C) 0.45
19900045 42
RedGreenBlue
z18.60
znorm14.54
sky 14.4 14.4 14.6
S/N 8.7 14.0 17.5
S/N(c) 14.5 20.3 15.5
SN(E/C) 0.43
19900046 42
RedGreenBlue
z18.43
znorm14.38
sky 14.8 14.6 14.7
S/N 11.5 17.6 21.7
S/N(c) 14.1 19.9 15.0
SN(E/C) 0.53
19900047 42
RedGreenBlue
z18.52
znorm14.46
sky 14.6 14.7 14.6
S/N 12.1 18.7 23.2
S/N(c) 14.9 20.6 15.7
SN(E/C) 0.48
19900048 42
RedGreenBlue
z17.68
znorm13.62
sky 14.6 14.8 14.9
S/N 8.6 13.8 16.8
S/N(c) 8.0 13.1 9.5
SN(E/C) 0.64
19900049 42
RedGreenBlue
z17.67
znorm13.61
sky 14.8 14.9 14.8
S/N 7.8 13.5 16.0
S/N(c) 7.7 12.7 9.6
SN(E/C) 0.71