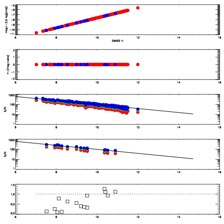
Left plots: red are targets, blue are telluric. Observed mags are calculated from median value of green chip. Zeropoint gives overall throughput: bigger number is more throughput.
First spatial plots: circles are objects, squares are tellurics, crosses are sky fibers. Colors give deviation of observed mag from expected 2MASS mag using the median zeropoint; red is brighter
Second spatial plots: circles are sky fibers. Colors give sky line brightness relative to plate median sky line brightness
FrameNreadsZeropointsMag plots Spatial mag deviation Spatial sky 16325A emission deviations (filled: sky, open: star) Spatial sky continuum emission Spatial sky telluric CO2 absorption deviations (filled: H < 10)
0 0
RedGreenBlue
z17.64
znorm Inf
sky -Inf -NaN -NaN
S/N 15.0 24.9 30.4
S/N(c) 0.0 0.0 0.0
SN(E/C) 0.56

IPAIRNAMESHIFTNEWSHIFTS/N NAMESHIFTNEWSHIFTS/N
0 19900048 0.00281039 0.00000 17.5589 19900049 -0.496406 0.499216 17.5286
1 19900044 0.00000 0.00281039 18.5414 19900045 -0.499604 0.502414 18.5618
2 19900047 0.00226890 0.000541490 18.4660 19900046 -0.499548 0.502358 18.4007