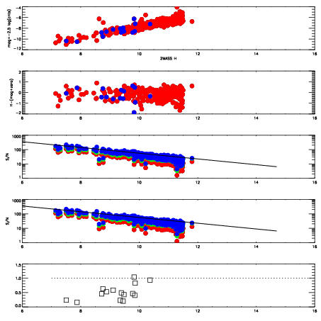
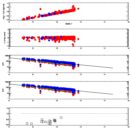
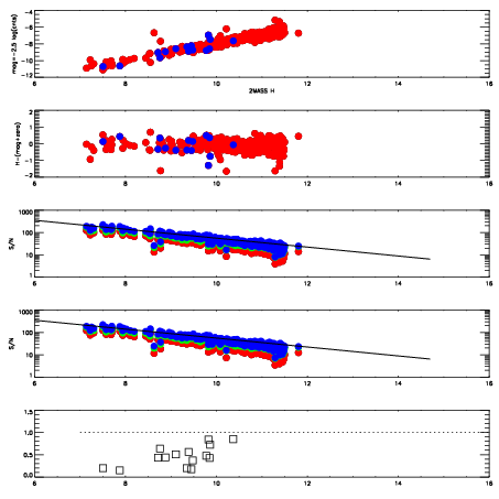
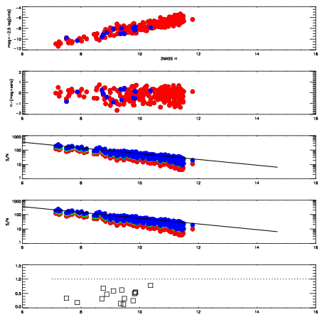
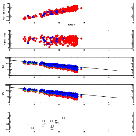
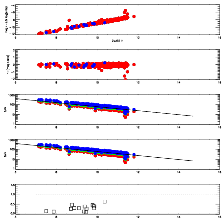
Frame | Nreads | Zeropoints | Mag plots
| Spatial mag deviation
| Spatial sky 16325A emission deviations (filled: sky, open: star)
| Spatial sky continuum emission
| Spatial sky telluric CO2 absorption deviations (filled: H < 10)
|
19750011
| 47
| | Red | Green | Blue
| z | | 18.95
| znorm | | 14.77
| sky | 14.1 | 14.0 | 13.9
| S/N | 15.4 | 23.7 | 25.6
| S/N(c) | 19.1 | 26.1 | 14.8
| SN(E/C) | 0.30
|
|
|
|
|
|
|
19750012
| 47
| | Red | Green | Blue
| z | | 18.96
| znorm | | 14.78
| sky | 14.4 | 14.1 | 14.1
| S/N | 15.8 | 24.0 | 26.3
| S/N(c) | 19.2 | 26.9 | 14.9
| SN(E/C) | 0.30
|
|
|
|
|
|
|
19750013
| 47
| | Red | Green | Blue
| z | | 19.03
| znorm | | 14.85
| sky | 14.6 | 14.3 | 14.1
| S/N | 16.2 | 24.8 | 27.0
| S/N(c) | 19.8 | 27.3 | 15.4
| SN(E/C) | 0.29
|
|
|
|
|
|
|
19750014
| 47
| | Red | Green | Blue
| z | | 19.01
| znorm | | 14.83
| sky | 14.6 | 14.3 | 14.1
| S/N | 16.3 | 24.6 | 26.9
| S/N(c) | 19.8 | 27.3 | 15.3
| SN(E/C) | 0.31
|
|
|
|
|
|
|
19750015
| 42
| | Red | Green | Blue
| z | | 17.89
| znorm | | 13.83
| sky | 14.4 | 14.2 | 14.2
| S/N | 12.3 | 19.8 | 21.5
| S/N(c) | 8.7 | 14.6 | 8.0
| SN(E/C) | 0.50
|
|
|
|
|
|
|
19750016
| 42
| | Red | Green | Blue
| z | | 17.95
| znorm | | 13.89
| sky | 14.4 | 14.4 | 14.4
| S/N | 12.1 | 19.7 | 21.0
| S/N(c) | 9.1 | 15.0 | 8.3
| SN(E/C) | 0.47
|
|
|
|
|
|
|
19750017
| 42
| | Red | Green | Blue
| z | | 18.01
| znorm | | 13.95
| sky | 14.7 | 14.5 | 14.5
| S/N | 9.1 | 15.7 | 16.4
| S/N(c) | 10.6 | 16.7 | 9.0
| SN(E/C) | 0.56
|
|
|
|
|
|
|
19750018
| 42
| | Red | Green | Blue
| z | | 18.06
| znorm | | 14.00
| sky | 14.7 | 14.6 | 14.5
| S/N | 9.2 | 15.8 | 16.4
| S/N(c) | 10.8 | 17.1 | 9.3
| SN(E/C) | 0.47
|
|
|
|
|
|
|
19750019
| 42
| | Red | Green | Blue
| z | | 18.83
| znorm | | 14.77
| sky | 14.4 | 14.5 | 14.4
| S/N | 11.4 | 19.1 | 20.2
| S/N(c) | 17.6 | 25.7 | 13.8
| SN(E/C) | 0.31
|
|
|
|
|
|
|
19750020
| 42
| | Red | Green | Blue
| z | | 18.81
| znorm | | 14.75
| sky | 14.6 | 14.4 | 14.4
| S/N | 11.6 | 18.9 | 20.2
| S/N(c) | 17.2 | 25.5 | 13.8
| SN(E/C) | 0.30
|
|
|
|
|
|
|
19750021
| 42
| | Red | Green | Blue
| z | | 18.09
| znorm | | 14.04
| sky | 14.5 | 14.5 | 14.6
| S/N | 12.1 | 19.7 | 20.9
| S/N(c) | 10.3 | 16.6 | 9.1
| SN(E/C) | 0.44
|
|
|
|
|
|
|
19750022
| 42
| | Red | Green | Blue
| z | | 18.07
| znorm | | 14.01
| sky | 14.7 | 14.8 | 14.3
| S/N | 11.7 | 19.3 | 20.7
| S/N(c) | 10.2 | 16.7 | 9.2
| SN(E/C) | 0.44
|
|
|
|
|
|
|
19750023
| 42
| | Red | Green | Blue
| z | | 18.17
| znorm | | 14.11
| sky | 14.6 | 14.6 | 14.8
| S/N | 9.6 | 16.7 | 17.8
| S/N(c) | 11.5 | 18.3 | 9.7
| SN(E/C) | 0.48
|
|
|
|
|
|
|
19750024
| 42
| | Red | Green | Blue
| z | | 18.20
| znorm | | 14.14
| sky | 14.4 | 14.8 | 14.7
| S/N | 9.9 | 17.0 | 18.3
| S/N(c) | 12.0 | 18.7 | 9.9
| SN(E/C) | 0.45
|
|
|
|
|
|
|
19750025
| 42
| | Red | Green | Blue
| z | | 18.67
| znorm | | 14.61
| sky | 14.7 | 14.6 | 14.5
| S/N | 10.3 | 17.3 | 18.4
| S/N(c) | 15.8 | 23.4 | 12.7
| SN(E/C) | 0.35
|
|
|
|
|
|
|
19750026
| 42
| | Red | Green | Blue
| z | | 18.68
| znorm | | 14.62
| sky | 14.4 | 14.6 | 14.5
| S/N | 9.7 | 17.2 | 18.0
| S/N(c) | 15.7 | 23.5 | 12.8
| SN(E/C) | 0.35
|
|
|
|
|
|
|