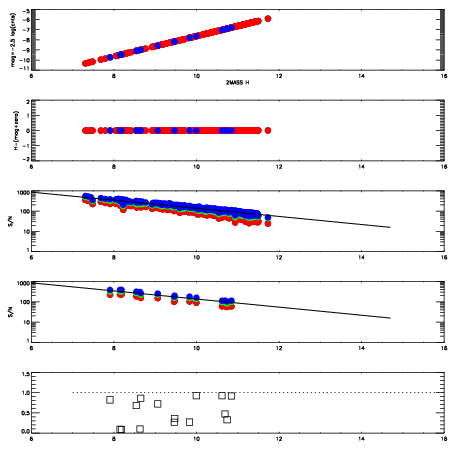
Left plots: red are targets, blue are telluric. Observed mags are calculated from median value of green chip. Zeropoint gives overall throughput: bigger number is more throughput.
First spatial plots: circles are objects, squares are tellurics, crosses are sky fibers. Colors give deviation of observed mag from expected 2MASS mag using the median zeropoint; red is brighter
Second spatial plots: circles are sky fibers. Colors give sky line brightness relative to plate median sky line brightness
FrameNreadsZeropointsMag plots Spatial mag deviation Spatial sky 16325A emission deviations (filled: sky, open: star) Spatial sky continuum emission Spatial sky telluric CO2 absorption deviations (filled: H < 10)
0 0
RedGreenBlue
z17.64
znorm Inf
sky -Inf -Inf -NaN
S/N 19.7 35.9 39.5
S/N(c) 0.0 0.0 0.0
SN(E/C) 0.47

IPAIRNAMESHIFTNEWSHIFTS/N NAMESHIFTNEWSHIFTS/N
0 19560044 0.494453 0.00000 17.6836 19560045 0.00115279 0.493300 17.5790
1 19560040 0.490575 0.00387803 18.6831 19560041 -0.00319240 0.497645 18.6908
2 19560035 0.490392 0.00406101 18.6771 19560034 0.00000 0.494453 18.6265
3 19560043 0.492440 0.00201303 18.5775 19560042 -0.00236977 0.496823 18.5407
4 19560036 0.491330 0.00312302 18.4866 19560037 -0.000454483 0.494907 18.4471
5 19560039 0.491207 0.00324601 17.9679 19560038 0.000359277 0.494094 17.9996