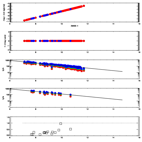
Left plots: red are targets, blue are telluric. Observed mags are calculated from median value of green chip. Zeropoint gives overall throughput: bigger number is more throughput.
First spatial plots: circles are objects, squares are tellurics, crosses are sky fibers. Colors give deviation of observed mag from expected 2MASS mag using the median zeropoint; red is brighter
Second spatial plots: circles are sky fibers. Colors give sky line brightness relative to plate median sky line brightness
FrameNreadsZeropointsMag plots Spatial mag deviation Spatial sky 16325A emission deviations (filled: sky, open: star) Spatial sky continuum emission Spatial sky telluric CO2 absorption deviations (filled: H < 10)
0 0
RedGreenBlue
z17.64
znorm Inf
sky -Inf -Inf -NaN
S/N 15.6 26.1 30.9
S/N(c) 0.0 0.0 0.0
SN(E/C) 0.25

IPAIRNAMESHIFTNEWSHIFTS/N NAMESHIFTNEWSHIFTS/N
0 20120017 0.499662 0.00000 18.4081 20120014 -0.00218403 0.501846 18.4194
1 20120016 0.498752 0.000910014 18.4795 20120015 -0.00313374 0.502796 18.5345
2 20120013 0.499469 0.000193000 18.3944 20120018 -3.11376e-05 0.499693 18.4121
3 20120020 0.499018 0.000643998 18.2856 20120019 -0.000111100 0.499773 18.3566
4 20120012 0.498521 0.00114101 18.1948 20120011 0.00000 0.499662 18.1366