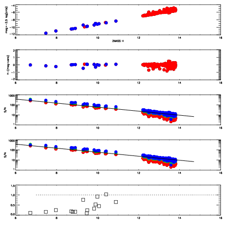
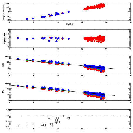
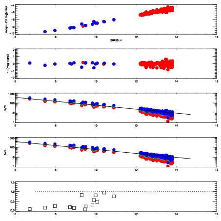
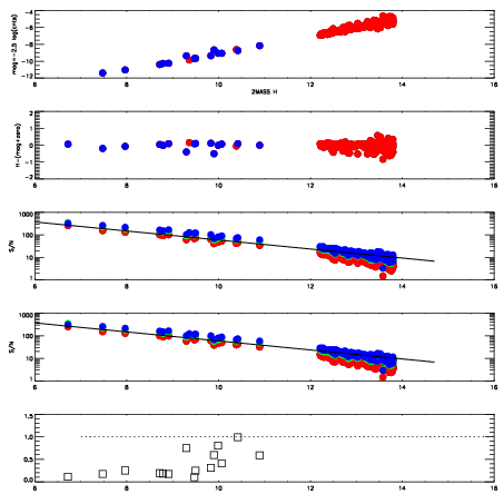
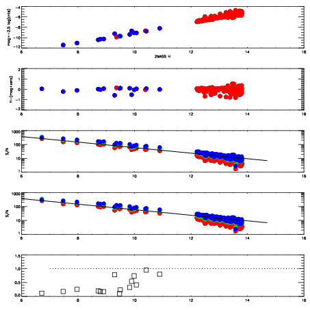
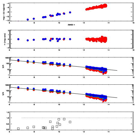
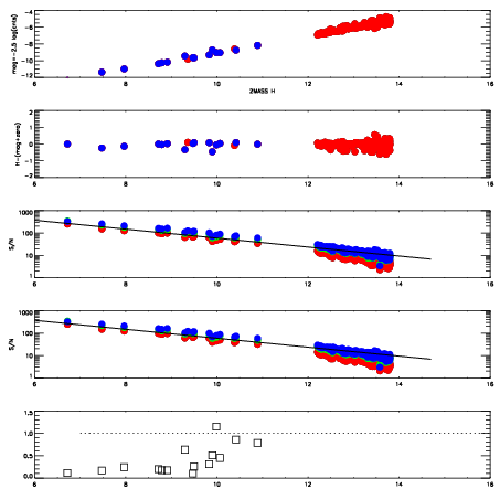
Frame | Nreads | Zeropoints | Mag plots
| Spatial mag deviation
| Spatial sky 16325A emission deviations (filled: sky, open: star)
| Spatial sky continuum emission
| Spatial sky telluric CO2 absorption deviations (filled: H < 10)
|
19900010
| 47
| | Red | Green | Blue
| z | | 19.07
| znorm | | 14.89
| sky | 14.0 | 14.0 | 13.8
| S/N | 19.2 | 27.7 | 33.5
| S/N(c) | 22.1 | 19.7 | 40.6
| SN(E/C) | 0.26
|
|
|
|
|
|
|
19900011
| 47
| | Red | Green | Blue
| z | | 19.07
| znorm | | 14.89
| sky | 14.1 | 14.1 | 14.0
| S/N | 18.7 | 27.5 | 33.2
| S/N(c) | 22.1 | 19.8 | 40.5
| SN(E/C) | 0.26
|
|
|
|
|
|
|
19900012
| 47
| | Red | Green | Blue
| z | | 19.09
| znorm | | 14.91
| sky | 14.3 | 14.2 | 14.0
| S/N | 19.0 | 27.7 | 33.4
| S/N(c) | 22.7 | 20.2 | 41.4
| SN(E/C) | 0.24
|
|
|
|
|
|
|
19900013
| 47
| | Red | Green | Blue
| z | | 19.06
| znorm | | 14.88
| sky | 14.5 | 14.2 | 14.0
| S/N | 18.6 | 27.3 | 32.9
| S/N(c) | 22.7 | 20.2 | 41.2
| SN(E/C) | 0.25
|
|
|
|
|
|
|
19900014
| 47
| | Red | Green | Blue
| z | | 19.01
| znorm | | 14.83
| sky | 14.4 | 14.3 | 14.1
| S/N | 17.6 | 26.1 | 31.4
| S/N(c) | 22.1 | 19.6 | 39.9
| SN(E/C) | 0.26
|
|
|
|
|
|
|
19900015
| 47
| | Red | Green | Blue
| z | | 19.08
| znorm | | 14.90
| sky | 14.4 | 14.3 | 14.2
| S/N | 17.9 | 26.6 | 32.0
| S/N(c) | 22.9 | 20.2 | 41.1
| SN(E/C) | 0.25
|
|
|
|
|
|
|
19900016
| 47
| | Red | Green | Blue
| z | | 19.11
| znorm | | 14.93
| sky | 14.2 | 14.3 | 14.2
| S/N | 19.0 | 27.8 | 33.6
| S/N(c) | 23.4 | 20.6 | 41.9
| SN(E/C) | 0.25
|
|
|
|
|
|
|
19900017
| 47
| | Red | Green | Blue
| z | | 19.16
| znorm | | 14.98
| sky | 14.3 | 14.4 | 14.2
| S/N | 20.4 | 29.6 | 35.7
| S/N(c) | 23.8 | 21.0 | 42.8
| SN(E/C) | 0.25
|
|
|
|
|
|
|