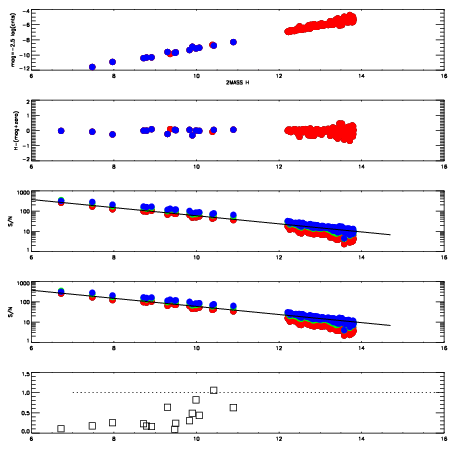
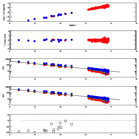
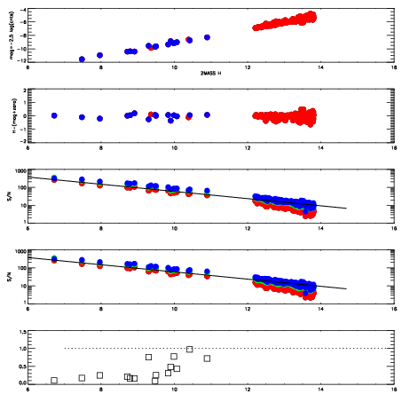
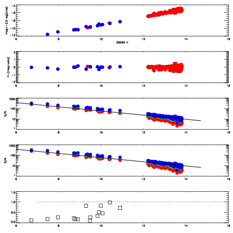
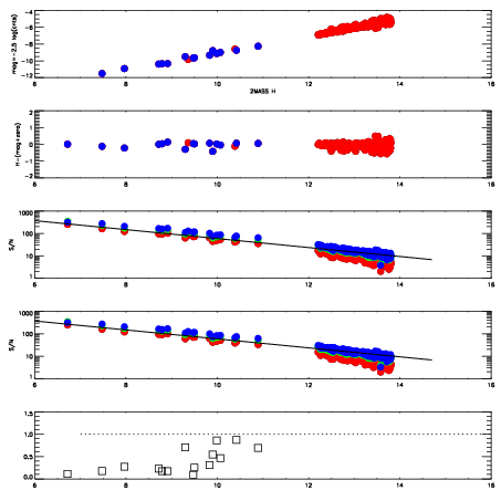
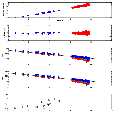
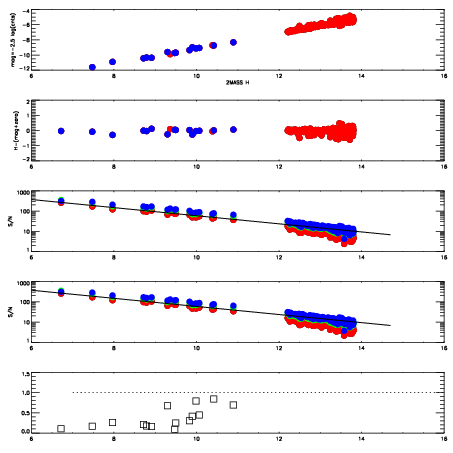
Frame | Nreads | Zeropoints | Mag plots
| Spatial mag deviation
| Spatial sky 16325A emission deviations (filled: sky, open: star)
| Spatial sky continuum emission
| Spatial sky telluric CO2 absorption deviations (filled: H < 10)
|
19920011
| 47
| | Red | Green | Blue
| z | | 19.04
| znorm | | 14.86
| sky | 14.2 | 14.2 | 14.3
| S/N | 19.1 | 28.4 | 34.5
| S/N(c) | 23.1 | 20.0 | 38.7
| SN(E/C) | 0.28
|
|
|
|
|
|
|
19920012
| 47
| | Red | Green | Blue
| z | | 19.11
| znorm | | 14.93
| sky | 14.4 | 14.5 | 14.4
| S/N | 19.5 | 29.0 | 35.3
| S/N(c) | 24.2 | 21.0 | 40.6
| SN(E/C) | 0.26
|
|
|
|
|
|
|
19920013
| 47
| | Red | Green | Blue
| z | | 19.10
| znorm | | 14.92
| sky | 14.6 | 14.5 | 14.4
| S/N | 19.4 | 29.2 | 35.4
| S/N(c) | 24.3 | 20.8 | 40.5
| SN(E/C) | 0.27
|
|
|
|
|
|
|
19920014
| 47
| | Red | Green | Blue
| z | | 19.12
| znorm | | 14.94
| sky | 14.3 | 14.4 | 14.5
| S/N | 19.6 | 29.6 | 36.0
| S/N(c) | 24.2 | 20.7 | 41.3
| SN(E/C) | 0.25
|
|
|
|
|
|
|
19920015
| 47
| | Red | Green | Blue
| z | | 19.12
| znorm | | 14.94
| sky | 14.4 | 14.5 | 14.5
| S/N | 19.8 | 29.5 | 35.8
| S/N(c) | 24.4 | 20.9 | 41.1
| SN(E/C) | 0.26
|
|
|
|
|
|
|
19920016
| 47
| | Red | Green | Blue
| z | | 19.13
| znorm | | 14.95
| sky | 14.5 | 14.6 | 14.5
| S/N | 19.7 | 29.6 | 36.0
| S/N(c) | 24.5 | 21.0 | 41.4
| SN(E/C) | 0.26
|
|
|
|
|
|
|
19920017
| 47
| | Red | Green | Blue
| z | | 19.13
| znorm | | 14.95
| sky | 14.4 | 14.6 | 14.6
| S/N | 19.8 | 29.5 | 35.9
| S/N(c) | 24.6 | 21.1 | 41.2
| SN(E/C) | 0.26
|
|
|
|
|
|
|
19920018
| 47
| | Red | Green | Blue
| z | | 19.16
| znorm | | 14.98
| sky | 14.7 | 14.5 | 14.4
| S/N | 20.1 | 30.0 | 36.4
| S/N(c) | 24.8 | 21.4 | 41.6
| SN(E/C) | 0.26
|
|
|
|
|
|
|