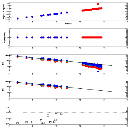
Left plots: red are targets, blue are telluric. Observed mags are calculated from median value of green chip. Zeropoint gives overall throughput: bigger number is more throughput.
First spatial plots: circles are objects, squares are tellurics, crosses are sky fibers. Colors give deviation of observed mag from expected 2MASS mag using the median zeropoint; red is brighter
Second spatial plots: circles are sky fibers. Colors give sky line brightness relative to plate median sky line brightness
FrameNreadsZeropointsMag plots Spatial mag deviation Spatial sky 16325A emission deviations (filled: sky, open: star) Spatial sky continuum emission Spatial sky telluric CO2 absorption deviations (filled: H < 10)
0 0
RedGreenBlue
z17.64
znorm Inf
sky -Inf -NaN -NaN
S/N 28.5 43.8 53.0
S/N(c) 0.3 48.4 33.6
SN(E/C) 0.31

IPAIRNAMESHIFTNEWSHIFTS/N NAMESHIFTNEWSHIFTS/N
0 19970013 0.493515 0.00000 18.5863 19970014 -0.00168519 0.495200 18.6371
1 19970017 0.492636 0.000879019 18.6465 19970018 0.000294008 0.493221 18.7595
2 19970012 0.492505 0.00101000 18.6438 19970011 0.00000 0.493515 18.7525
3 19970016 0.492309 0.00120601 18.5097 19970015 -0.00150318 0.495018 18.6236