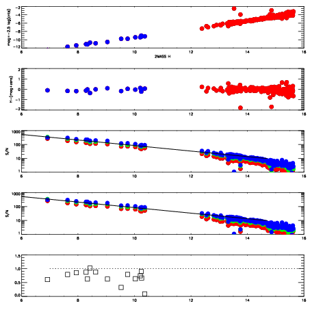
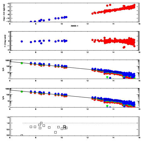
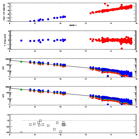
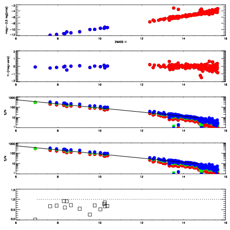
Left plots: red are targets, blue are telluric. Observed mags are calculated from median value of green chip. Zeropoint gives overall throughput: bigger number is more throughput.
First spatial plots: circles are objects, squares are tellurics, crosses are sky fibers. Colors give deviation of observed mag from expected 2MASS mag using the median zeropoint; red is brighter
Second spatial plots: circles are sky fibers. Colors give sky line brightness relative to plate median sky line brightness
FrameNreadsZeropointsMag plots Spatial mag deviation Spatial sky 16325A emission deviations (filled: sky, open: star) Spatial sky continuum emission Spatial sky telluric CO2 absorption deviations (filled: H < 10)
19910022 94
RedGreenBlue
z19.76
znorm14.83
sky 14.5 14.3 14.3
S/N 26.8 36.7 43.9
S/N(c) 22.3 44.8 19.5
SN(E/C) 0.68
19910023 94
RedGreenBlue
z19.70
znorm14.77
sky 14.5 14.4 14.4
S/N 25.8 35.3 42.6
S/N(c) 21.7 43.8 18.7
SN(E/C) 0.68
19910024 94
RedGreenBlue
z19.75
znorm14.82
sky 14.6 14.5 14.3
S/N 26.4 36.3 43.9
S/N(c) 22.2 45.1 19.2
SN(E/C) 0.67
19910025 94
RedGreenBlue
z19.48
znorm14.54
sky 14.6 14.5 14.4
S/N 23.3 31.9 38.8
S/N(c) 19.7 41.9 25.2
SN(E/C) 0.74