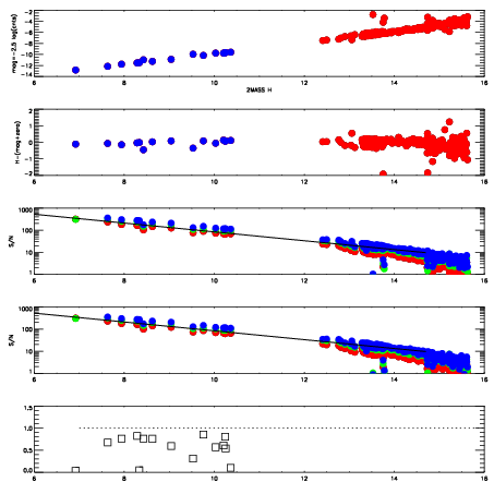
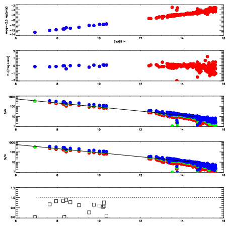
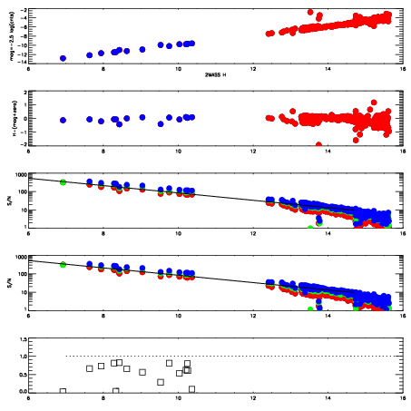
Left plots: red are targets, blue are telluric. Observed mags are calculated from median value of green chip. Zeropoint gives overall throughput: bigger number is more throughput.
First spatial plots: circles are objects, squares are tellurics, crosses are sky fibers. Colors give deviation of observed mag from expected 2MASS mag using the median zeropoint; red is brighter
Second spatial plots: circles are sky fibers. Colors give sky line brightness relative to plate median sky line brightness
FrameNreadsZeropointsMag plots Spatial mag deviation Spatial sky 16325A emission deviations (filled: sky, open: star) Spatial sky continuum emission Spatial sky telluric CO2 absorption deviations (filled: H < 10)
19920022 94
RedGreenBlue
z19.83
znorm14.90
sky 14.6 14.2 14.3
S/N 30.0 40.2 49.8
S/N(c) 16.5 45.8 12.1
SN(E/C) 0.62
19920023 94
RedGreenBlue
z19.87
znorm14.93
sky 14.5 14.5 14.4
S/N 29.9 40.5 49.8
S/N(c) 16.5 45.0 11.6
SN(E/C) 0.65
19920024 94
RedGreenBlue
z19.84
znorm14.91
sky 14.5 14.4 14.5
S/N 30.1 40.7 50.1
S/N(c) 16.6 45.1 11.3
SN(E/C) 0.61
19920025 94
RedGreenBlue
z19.87
znorm14.93
sky 14.6 14.6 14.4
S/N 30.0 40.7 50.0
S/N(c) 16.6 45.1 11.1
SN(E/C) 0.62