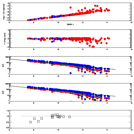
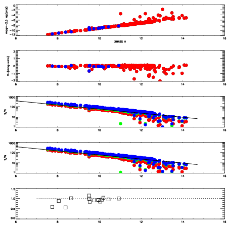
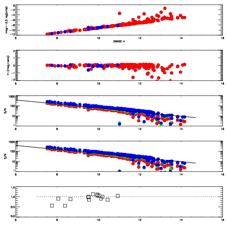
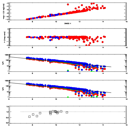
Left plots: red are targets, blue are telluric. Observed mags are calculated from median value of green chip. Zeropoint gives overall throughput: bigger number is more throughput.
First spatial plots: circles are objects, squares are tellurics, crosses are sky fibers. Colors give deviation of observed mag from expected 2MASS mag using the median zeropoint; red is brighter
Second spatial plots: circles are sky fibers. Colors give sky line brightness relative to plate median sky line brightness
FrameNreadsZeropointsMag plots Spatial mag deviation Spatial sky 16325A emission deviations (filled: sky, open: star) Spatial sky continuum emission Spatial sky telluric CO2 absorption deviations (filled: H < 10)
19920049 47
RedGreenBlue
z19.13
znorm14.95
sky 14.6 14.4 14.5
S/N 17.0 28.0 31.5
S/N(c) 7.8 15.9 16.6
SN(E/C) 0.96
19920050 47
RedGreenBlue
z19.19
znorm15.01
sky 14.6 14.5 14.6
S/N 17.3 28.9 32.1
S/N(c) 8.0 16.4 16.9
SN(E/C) 0.89
19920051 47
RedGreenBlue
z19.16
znorm14.98
sky 14.6 14.5 14.6
S/N 16.9 28.3 31.7
S/N(c) 7.9 16.2 16.6
SN(E/C) 0.93
19920052 47
RedGreenBlue
z19.10
znorm14.92
sky 14.4 14.4 14.7
S/N 16.3 27.5 30.3
S/N(c) 7.6 15.7 15.9
SN(E/C) 0.97
19920053 47
RedGreenBlue
z19.14
znorm14.96
sky 14.7 14.6 14.7
S/N 16.8 27.9 31.2
S/N(c) 7.7 16.0 16.3
SN(E/C) 0.94
19920054 47
RedGreenBlue
z19.12
znorm14.94
sky 14.5 14.5 14.8
S/N 16.5 27.5 31.0
S/N(c) 7.6 15.7 16.2
SN(E/C) 0.95