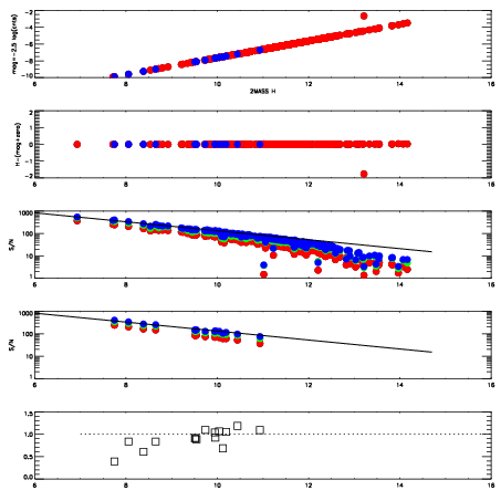
Left plots: red are targets, blue are telluric. Observed mags are calculated from median value of green chip. Zeropoint gives overall throughput: bigger number is more throughput.
First spatial plots: circles are objects, squares are tellurics, crosses are sky fibers. Colors give deviation of observed mag from expected 2MASS mag using the median zeropoint; red is brighter
Second spatial plots: circles are sky fibers. Colors give sky line brightness relative to plate median sky line brightness
FrameNreadsZeropointsMag plots Spatial mag deviation Spatial sky 16325A emission deviations (filled: sky, open: star) Spatial sky continuum emission Spatial sky telluric CO2 absorption deviations (filled: H < 10)
0 0
RedGreenBlue
z17.64
znorm Inf
sky -Inf -Inf -NaN
S/N 16.6 30.0 35.4
S/N(c) 0.0 0.0 0.0
SN(E/C) 0.92

IPAIRNAMESHIFTNEWSHIFTS/N NAMESHIFTNEWSHIFTS/N
0 19970048 0.499076 0.00000 18.5835 19970046 0.00268418 0.496392 18.2509
1 19970045 0.498033 0.00104302 18.6034 19970047 0.00436954 0.494706 18.3724
2 19970044 0.498817 0.000259012 18.3268 19970039 0.00000 0.499076 18.0595
3 19970040 0.496910 0.00216600 18.1882 19970043 0.00297273 0.496103 18.0383
4 19970041 0.498118 0.000957996 18.0364 19970042 0.00387723 0.495199 17.9914