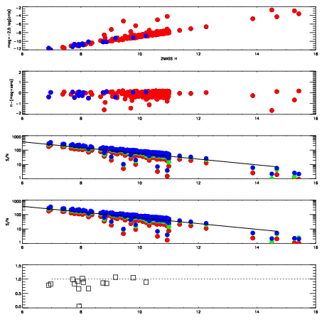
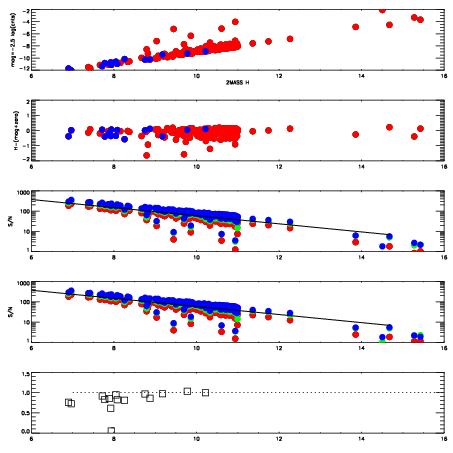
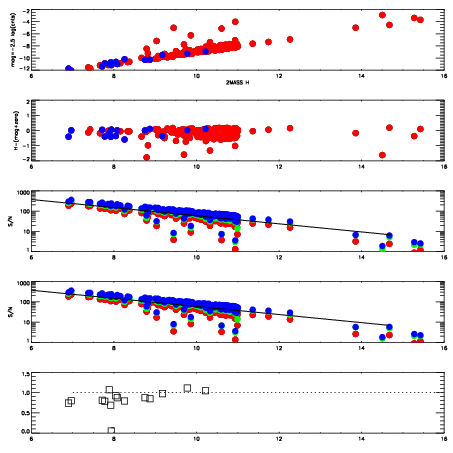
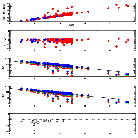
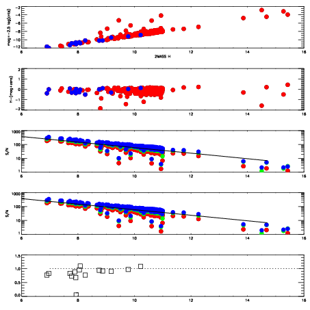
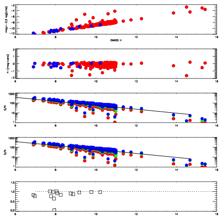
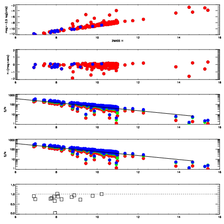
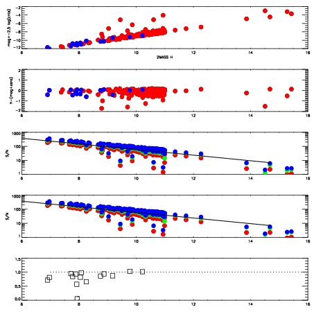
Frame | Nreads | Zeropoints | Mag plots
| Spatial mag deviation
| Spatial sky 16325A emission deviations (filled: sky, open: star)
| Spatial sky continuum emission
| Spatial sky telluric CO2 absorption deviations (filled: H < 10)
|
19910040
| 47
| | Red | Green | Blue
| z | | 18.89
| znorm | | 14.71
| sky | 14.3 | 14.1 | 14.3
| S/N | 15.3 | 24.3 | 27.1
| S/N(c) | 18.2 | 25.8 | 19.0
| SN(E/C) | 0.86
|
|
|
|
|
|
|
19910041
| 47
| | Red | Green | Blue
| z | | 18.95
| znorm | | 14.77
| sky | 14.5 | 14.4 | 14.3
| S/N | 15.5 | 25.3 | 27.9
| S/N(c) | 18.8 | 26.6 | 19.6
| SN(E/C) | 0.90
|
|
|
|
|
|
|
19910042
| 47
| | Red | Green | Blue
| z | | 19.00
| znorm | | 14.82
| sky | 14.5 | 14.4 | 14.5
| S/N | 16.1 | 26.1 | 28.9
| S/N(c) | 19.2 | 27.1 | 20.0
| SN(E/C) | 0.85
|
|
|
|
|
|
|
19910043
| 47
| | Red | Green | Blue
| z | | 19.01
| znorm | | 14.83
| sky | 14.7 | 14.4 | 14.4
| S/N | 16.4 | 26.3 | 29.2
| S/N(c) | 19.3 | 27.3 | 20.1
| SN(E/C) | 0.86
|
|
|
|
|
|
|
19910044
| 47
| | Red | Green | Blue
| z | | 19.00
| znorm | | 14.82
| sky | 14.3 | 14.3 | 14.4
| S/N | 16.5 | 26.7 | 29.5
| S/N(c) | 19.0 | 27.1 | 19.9
| SN(E/C) | 0.85
|
|
|
|
|
|
|
19910045
| 47
| | Red | Green | Blue
| z | | 19.04
| znorm | | 14.86
| sky | 14.5 | 14.5 | 14.5
| S/N | 17.4 | 28.1 | 31.1
| S/N(c) | 19.6 | 27.6 | 20.3
| SN(E/C) | 0.85
|
|
|
|
|
|
|
19910046
| 47
| | Red | Green | Blue
| z | | 18.95
| znorm | | 14.77
| sky | 14.6 | 14.6 | 14.6
| S/N | 17.1 | 27.8 | 30.9
| S/N(c) | 18.6 | 26.2 | 19.4
| SN(E/C) | 0.85
|
|
|
|
|
|
|
19910047
| 47
| | Red | Green | Blue
| z | | 18.95
| znorm | | 14.77
| sky | 14.5 | 14.5 | 14.6
| S/N | 17.9 | 28.5 | 31.5
| S/N(c) | 18.5 | 26.2 | 19.3
| SN(E/C) | 0.88
|
|
|
|
|
|
|