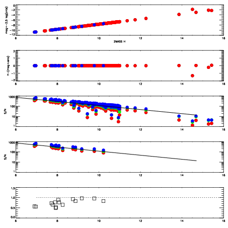
Left plots: red are targets, blue are telluric. Observed mags are calculated from median value of green chip. Zeropoint gives overall throughput: bigger number is more throughput.
First spatial plots: circles are objects, squares are tellurics, crosses are sky fibers. Colors give deviation of observed mag from expected 2MASS mag using the median zeropoint; red is brighter
Second spatial plots: circles are sky fibers. Colors give sky line brightness relative to plate median sky line brightness
FrameNreadsZeropointsMag plots Spatial mag deviation Spatial sky 16325A emission deviations (filled: sky, open: star) Spatial sky continuum emission Spatial sky telluric CO2 absorption deviations (filled: H < 10)
0 0
RedGreenBlue
z17.64
znorm Inf
sky -Inf -Inf -NaN
S/N 29.1 50.5 56.3
S/N(c) 0.0 0.0 0.0
SN(E/C) 0.76

IPAIRNAMESHIFTNEWSHIFTS/N NAMESHIFTNEWSHIFTS/N
0 19910046 0.497000 0.00000 18.9276 19910040 0.00000 0.497000 18.8735
1 19910045 0.495716 0.00128400 19.0206 19910043 -0.000754660 0.497755 18.9938
2 19910042 0.495499 0.00150099 18.9881 19910044 -0.000918521 0.497919 18.9767
3 19910041 0.495363 0.00163701 18.9346 19910047 -0.00311609 0.500116 18.9233