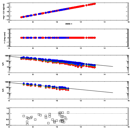
Left plots: red are targets, blue are telluric. Observed mags are calculated from median value of green chip. Zeropoint gives overall throughput: bigger number is more throughput.
First spatial plots: circles are objects, squares are tellurics, crosses are sky fibers. Colors give deviation of observed mag from expected 2MASS mag using the median zeropoint; red is brighter
Second spatial plots: circles are sky fibers. Colors give sky line brightness relative to plate median sky line brightness
FrameNreadsZeropointsMag plots Spatial mag deviation Spatial sky 16325A emission deviations (filled: sky, open: star) Spatial sky continuum emission Spatial sky telluric CO2 absorption deviations (filled: H < 10)
0 0
RedGreenBlue
z17.64
znorm Inf
sky -Inf -Inf -NaN
S/N 17.9 31.3 35.5
S/N(c) 0.0 0.0 0.0
SN(E/C) 0.63

IPAIRNAMESHIFTNEWSHIFTS/N NAMESHIFTNEWSHIFTS/N
0 19940031 0.00496630 0.00000 18.5497 19940032 -0.485753 0.490719 18.4580
1 19940027 0.00000 0.00496630 18.8544 19940028 -0.488021 0.492987 18.8909
2 19940030 0.00396926 0.000997040 18.6478 19940029 -0.487708 0.492674 18.7574