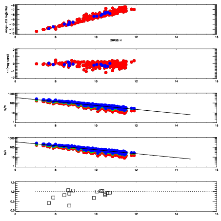
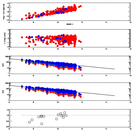
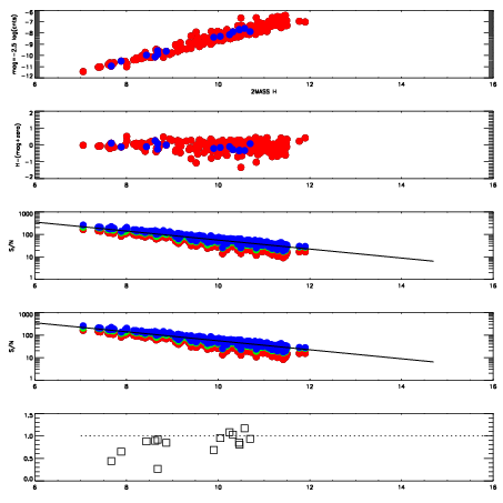
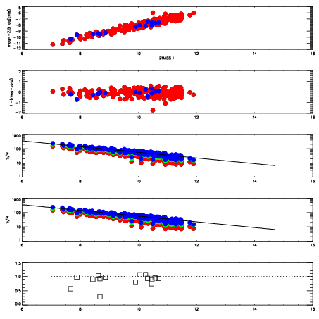
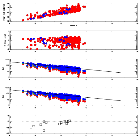
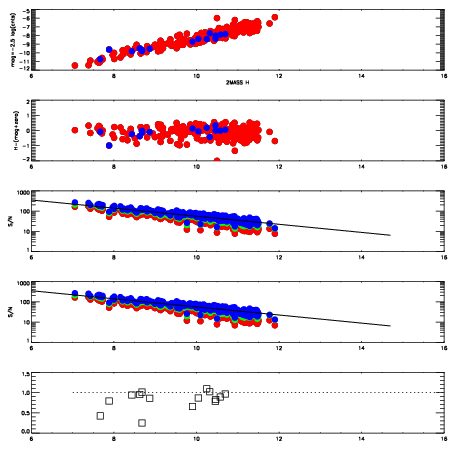
Left plots: red are targets, blue are telluric. Observed mags are calculated from median value of green chip. Zeropoint gives overall throughput: bigger number is more throughput.
First spatial plots: circles are objects, squares are tellurics, crosses are sky fibers. Colors give deviation of observed mag from expected 2MASS mag using the median zeropoint; red is brighter
Second spatial plots: circles are sky fibers. Colors give sky line brightness relative to plate median sky line brightness
FrameNreadsZeropointsMag plots Spatial mag deviation Spatial sky 16325A emission deviations (filled: sky, open: star) Spatial sky continuum emission Spatial sky telluric CO2 absorption deviations (filled: H < 10)
19900053 42
RedGreenBlue
z18.20
znorm14.14
sky 14.5 14.6 14.8
S/N 10.0 17.1 18.3
S/N(c) 13.6 18.9 12.5
SN(E/C) 0.93
19900054 42
RedGreenBlue
z18.49
znorm14.43
sky 14.7 14.4 14.9
S/N 11.8 19.7 21.4
S/N(c) 15.9 21.6 14.3
SN(E/C) 0.86
19900055 42
RedGreenBlue
z18.49
znorm14.43
sky 14.6 14.7 15.0
S/N 14.3 23.5 25.7
S/N(c) 16.9 22.4 14.7
SN(E/C) 0.89
19900056 42
RedGreenBlue
z18.50
znorm14.44
sky 14.6 14.7 14.9
S/N 14.6 23.8 25.9
S/N(c) 17.1 22.7 14.8
SN(E/C) 0.88
19900057 42
RedGreenBlue
z18.19
znorm14.13
sky 14.7 14.7 14.8
S/N 6.8 12.6 13.3
S/N(c) 13.6 18.8 12.4
SN(E/C) 0.91
19900058 42
RedGreenBlue
z18.15
znorm14.09
sky 14.8 14.8 15.1
S/N 5.5 10.7 11.4
S/N(c) 13.2 17.7 11.9
SN(E/C) 0.92