PLATE:8965 MJD: 57504 FIELD: 300+75

FrameCartsec zseeingNreadsDitherPixshiftZerosky continuumS/NS/N(cframe)
19420024 5 1.08 1.34 47 0.00 -0.00 18.65 [14.62,14.33,14.45] [ 13.0, 20.4, 23.4] [ 17.1, 29.6, 20.3]
19420025 5 1.09 1.34 47 0.49 0.00 18.32 [14.47,14.32,14.51] [ 10.4, 17.0, 19.4] [ 14.5, 25.7, 17.5]
19420026 5 1.10 1.37 47 0.49 0.00 17.75 [14.21,14.08,14.13] [ 7.1, 12.4, 14.0] [ 10.8, 19.5, 13.3]
19420027 5 1.11 1.36 47 -0.00 0.00 17.66 [14.31,14.13,14.10] [ 6.7, 11.6, 13.2] [ 10.2, 18.6, 12.7]
19420028 5 1.12 1.46 47 -0.00 -0.00 17.17 [14.10,14.10,14.06] [ 4.6, 8.6, 9.7] [ 7.7, 14.6, 9.9]
19420029 5 1.13 1.61 47 0.48 -0.00 16.88 [13.96,13.93,13.90] [ 3.7, 7.0, 7.6] [ 6.3, 12.3, 8.4]
19420030 5 1.15 1.33 47 0.48 -0.00 16.26 [13.76,13.79,13.72] [ 2.4, 4.7, 5.2] [ 4.5, 9.4, 6.4]
19420031 5 1.16 1.39 47 -0.00 -0.00 17.36 [14.08,14.08,13.95] [ 5.5, 9.9, 11.3] [ 8.6, 16.0, 11.3]

IPAIRNAMESHIFTNEWSHIFTS/N NAMESHIFTNEWSHIFTS/N
0 19420026 0.489 0.000 17.75 19420027 -0.001 0.490 17.62
1 19420025 0.488 0.001 18.29 19420024 0.000 0.489 18.64
2 19420029 0.483 0.006 16.85 19420031 -0.002 0.491 17.36
3 19420030 0.484 0.005 16.32 19420028 -0.001 0.490 17.14

Visit (multiple exposure and dither combined) spectra

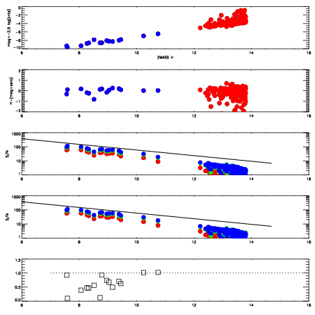
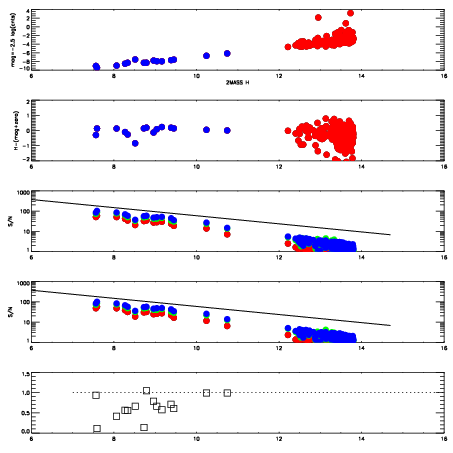
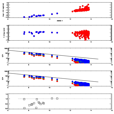
FrameZeropointsMag plots Spatial mag deviation Spatial sky telluric CH4 Spatial sky telluric CO2 Spatial sky telluric H2O Spatial sky 16325A emission deviations (filled: sky, open: star) Spatial sky continuum emission
19420024
RedGreenBlue
z18.65
znorm14.47
sky 14.6 14.3 14.4
S/N 13.0 20.4 23.4
S/N(c) 17.1 29.6 20.3
SN(E/C) 0.34
19420025
RedGreenBlue
z18.32
znorm14.14
sky 14.5 14.3 14.5
S/N 10.4 17.0 19.4
S/N(c) 14.5 25.7 17.5
SN(E/C) 0.39
19420026
RedGreenBlue
z17.75
znorm13.57
sky 14.2 14.1 14.1
S/N 7.1 12.4 14.0
S/N(c) 10.8 19.5 13.3
SN(E/C) 0.47
19420027
RedGreenBlue
z17.66
znorm13.48
sky 14.3 14.1 14.1
S/N 6.7 11.6 13.2
S/N(c) 10.2 18.6 12.7
SN(E/C) 0.54
19420028
RedGreenBlue
z17.17
znorm12.99
sky 14.1 14.1 14.1
S/N 4.6 8.6 9.7
S/N(c) 7.7 14.6 9.9
SN(E/C) 0.63
19420029
RedGreenBlue
z16.88
znorm12.70
sky 14.0 13.9 13.9
S/N 3.7 7.0 7.6
S/N(c) 6.3 12.3 8.4
SN(E/C) 0.66
19420030
RedGreenBlue
z16.26
znorm12.08
sky 13.8 13.8 13.7
S/N 2.4 4.7 5.2
S/N(c) 4.5 9.4 6.4
SN(E/C) 0.78
19420031
RedGreenBlue
z17.36
znorm13.18
sky 14.1 14.1 13.9
S/N 5.5 9.9 11.3
S/N(c) 8.6 16.0 11.3
SN(E/C) 0.57