0000019-019742853

Home
Next (0000022-005139294)
Previous (0000016-021729316)

Image Mosaics

Color mosaics showing the data (left panel), model (middle panel), and residuals (right panel).

Missing file 0000019-019742853-custom-grz-montage.png

Elliptical Isophote Analysis

Geometry

Tractor ID Ellipse Moments Ellipse Fitting
ID Typenr(50)
(arcsec)
PA
(deg)
e R(25)
(arcsec)
PA
(deg)
e Size
(arcsec)
PA
(deg)
e R(24)
(arcsec)
R(25)
(arcsec)
R(26)
(arcsec)
PA
(deg)
e
19742853 SER2.393.625176.440.275 ......... ......... ...............

Photometry

Curve of Growth
Tractor < R(24)
arcsec
< R(25)
arcsec
< R(26)
arcsec
Integrated
IDGalaxy grz grz grz grz grz
19742853 18.56417.12616.414 ......... ......... ......... .........

Missing file thumb-0000019-019742853-custom-ellipse-multiband.png

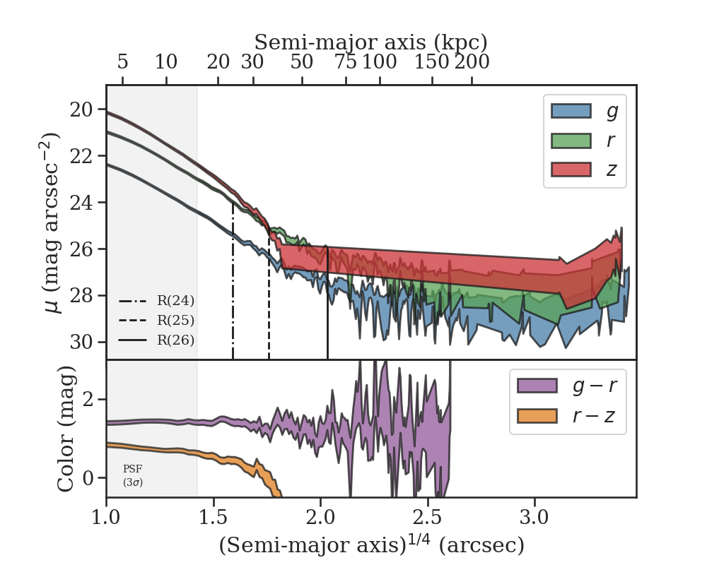
Missing file 0000019-019742853-custom-ellipse-sbprofile.png Missing file 0000019-019742853-custom-ellipse-cog.png

Masking Geometry

Left panel: color mosaic with the original and final ellipse geometry shown. Middle panel: original maskbits image based on the Hyperleda geometry. Right panel: distribution of all sources and frozen sources (the size of the orange square markers is proportional to the r-band flux).

Missing file 0000019-019742853-custom-maskbits.png

CCD Diagnostics

Missing file 0000019-019742853-ccdpos.png


Home
Next (0000022-005139294)
Previous (0000016-021729316)

Last updated