0000070-048740629

Home
Next (0000088-003491064)
Previous (0000066-039890749)

Cluster Properties

Galaxy RA Dec Redshift Richness Pcen Viewer
0000070-048740629 319.7044574 0.5603428 0.26474 120.2897 0.998 Link

Image Mosaics

Color mosaics showing the data (left panel), model (middle panel), and residuals (right panel).

Missing file 0000070-048740629-custom-grz-montage.png

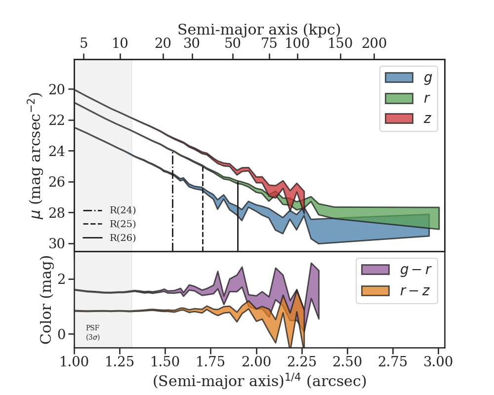
Elliptical Isophote Analysis

Geometry

Tractor ID Ellipse Moments Ellipse Fitting
ID Typenr(50)
(arcsec)
PA
(deg)
e R(25)
(arcsec)
PA
(deg)
e Size
(arcsec)
PA
(deg)
e R(24)
(arcsec)
R(25)
(arcsec)
R(26)
(arcsec)
PA
(deg)
e
48740629 DEV4.004.437103.490.149 ......... ......... ...............

Photometry

Curve of Growth
Tractor < R(24)
arcsec
< R(25)
arcsec
< R(26)
arcsec
Integrated
IDGalaxy grz grz grz grz grz
48740629 18.68717.10616.236 ......... ......... ......... .........

Missing file thumb-0000070-048740629-custom-ellipse-multiband.png

Missing file 0000070-048740629-custom-ellipse-sbprofile.png Missing file 0000070-048740629-custom-ellipse-cog.png

CCD Diagnostics

Missing file 0000070-048740629-ccdpos.png


Home
Next (0000088-003491064)
Previous (0000066-039890749)

Last updated