NGC2500

RA Slice 120

Home
Next (NGC5481_GROUP)
Previous (UGC05740)

Group Properties

ID
(Primary)
Group Name Group RA Group Dec Group Diameter
(arcmin)
Viewer
1290 NGC2500 120.4708919 50.7371668 3.7726 Link

Group Members

ID Galaxy RA Dec D(25)
(arcmin)
1290 NGC2500 120.4708919 50.7371668 3.7726

Image Mosaics

Color mosaics showing the data (left panel), model (middle panel), and residuals (right panel).

Missing file NGC2500-custom-montage-grz.png
Missing file NGC2500-custom-montage-FUVNUV.png
Missing file NGC2500-custom-montage-W1W2.png

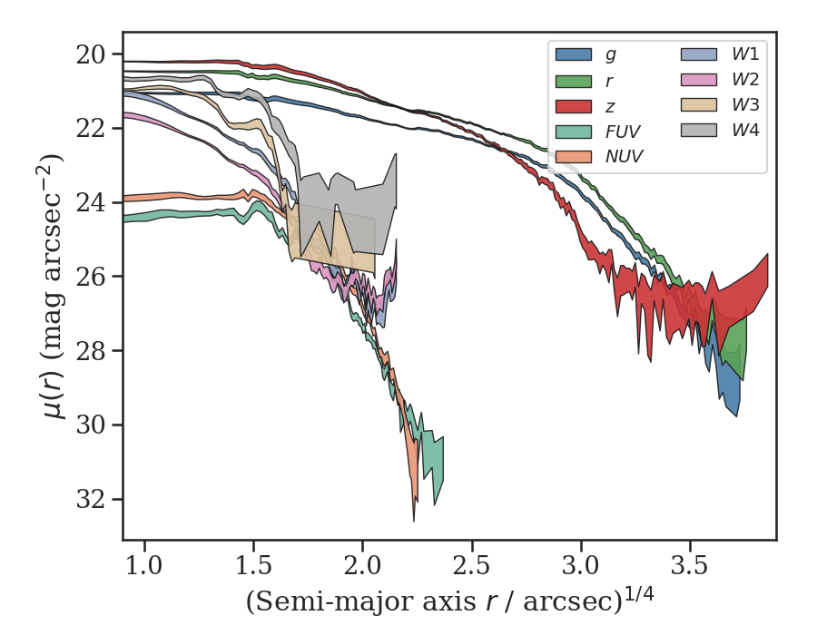
Elliptical Isophote Analysis

Geometry

Tractor Ellipse Moments Surface Brightness
Threshold Radii
(arcsec)
Half-light Radii
(arcsec)
Galaxy Typenr(50)
(arcsec)
PA
(deg)
e Size
(arcsec)
PA
(deg)
e R(24)R(25)R(26) g(50)r(50)z(50)
NGC2500 REX1.0012.1280.000.000 74.12589.300.183 93.747114.159136.767 166.736175.650304.355

Photometry

Tractor Curve of Growth
Galaxy FUVNUVgrzW1W2W3W4 FUVNUVgrzW1W2W3W4
NGC2500 18.82117.20214.41913.87813.54513.60814.15513.17513.007 14.30013.94111.60411.10910.95011.62112.13210.86110.587

NGC2500

Missing file thumb-NGC2500-custom-ellipse-1290-multiband-FUVNUV.png
Missing file thumb-NGC2500-custom-ellipse-1290-multiband.png
Missing file thumb-NGC2500-custom-ellipse-1290-multiband-W1W2.png

Missing file NGC2500-custom-ellipse-1290-sbprofile.png Missing file NGC2500-custom-ellipse-1290-cog.png
Missing file NGC2500-custom-ellipse-1290-sed.png


Home
Next (NGC5481_GROUP)
Previous (UGC05740)

Last updated