UGC04998

RA Slice 141

Home
Next (PGC020611)
Previous (SDSSJ121003.98+684141.9)

Group Properties

ID
(Primary)
Group Name Group RA Group Dec Group Diameter
(arcmin)
Viewer
163 UGC04998 141.3017014 68.3832339 2.7270 Link

Group Members

ID Galaxy RA Dec D(25)
(arcmin)
163 UGC04998 141.3017014 68.3832339 2.7270

Image Mosaics

Color mosaics showing the data (left panel), model (middle panel), and residuals (right panel).

Missing file UGC04998-custom-montage-grz.png
Missing file UGC04998-custom-montage-FUVNUV.png
Missing file UGC04998-custom-montage-W1W2.png

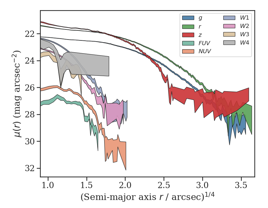
Elliptical Isophote Analysis

Geometry

Tractor Ellipse Moments Surface Brightness
Threshold Radii
(arcsec)
Half-light Radii
(arcsec)
Galaxy Typenr(50)
(arcsec)
PA
(deg)
e Size
(arcsec)
PA
(deg)
e R(24)R(25)R(26) g(50)r(50)z(50)
UGC04998 SER0.8828.46971.960.387 60.11672.580.379 43.96563.28584.207 43.98245.49724.300

Photometry

Tractor Curve of Growth
Galaxy FUVNUVgrzW1W2W3W4 FUVNUVgrzW1W2W3W4
UGC04998 20.62418.48714.39013.71813.97814.09714.82215.44714.728 18.67617.95014.18913.48414.32613.43214.32015.71915.539

UGC04998

Missing file thumb-UGC04998-custom-ellipse-163-multiband-FUVNUV.png
Missing file thumb-UGC04998-custom-ellipse-163-multiband.png
Missing file thumb-UGC04998-custom-ellipse-163-multiband-W1W2.png

Missing file UGC04998-custom-ellipse-163-sbprofile.png Missing file UGC04998-custom-ellipse-163-cog.png
Missing file UGC04998-custom-ellipse-163-sed.png


Home
Next (PGC020611)
Previous (SDSSJ121003.98+684141.9)

Last updated