UGC05541

RA Slice 154

Home
Next (SDSSJ114754.72+582151.3)
Previous (SDSSJ125426.85+582348.9)

Group Properties

ID
(Primary)
Group Name Group RA Group Dec Group Diameter
(arcmin)
Viewer
736 UGC05541 154.2298287 58.3948955 1.7471 Link

Group Members

ID Galaxy RA Dec D(25)
(arcmin)
736 UGC05541 154.2298287 58.3948955 1.7471

Image Mosaics

Color mosaics showing the data (left panel), model (middle panel), and residuals (right panel).

Missing file UGC05541-custom-montage-grz.png
Missing file UGC05541-custom-montage-FUVNUV.png
Missing file UGC05541-custom-montage-W1W2.png

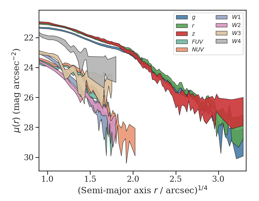
Elliptical Isophote Analysis

Geometry

Tractor Ellipse Moments Surface Brightness
Threshold Radii
(arcsec)
Half-light Radii
(arcsec)
Galaxy Typenr(50)
(arcsec)
PA
(deg)
e Size
(arcsec)
PA
(deg)
e R(24)R(25)R(26) g(50)r(50)z(50)
UGC05541 REX1.008.7110.000.000 52.41431.810.512 24.60236.49356.303 20.28419.66315.701

Photometry

Tractor Curve of Growth
Galaxy FUVNUVgrzW1W2W3W4 FUVNUVgrzW1W2W3W4
UGC05541 >21.77018.42016.29515.95915.82516.74717.08115.601>15.337 16.06815.89614.88714.70314.99915.62515.78315.33213.876

UGC05541

Missing file thumb-UGC05541-custom-ellipse-736-multiband-FUVNUV.png
Missing file thumb-UGC05541-custom-ellipse-736-multiband.png
Missing file thumb-UGC05541-custom-ellipse-736-multiband-W1W2.png

Missing file UGC05541-custom-ellipse-736-sbprofile.png Missing file UGC05541-custom-ellipse-736-cog.png
Missing file UGC05541-custom-ellipse-736-sed.png


Home
Next (SDSSJ114754.72+582151.3)
Previous (SDSSJ125426.85+582348.9)

Last updated