NGC4125_GROUP

RA Slice 182

Home
Next (UGC05576)
Previous (SDSSJ121224.37+651027.0)

Group Properties

ID
(Primary)
Group Name Group RA Group Dec Group Diameter
(arcmin)
Viewer
240 NGC4125_GROUP 182.0213346 65.1694784 8.4108 Link

Group Members

ID Galaxy RA Dec D(25)
(arcmin)
240 NGC4125 182.0244345 65.1743497 7.3436
243 NGC4121 181.9859885 65.1139332 0.6440

Image Mosaics

Color mosaics showing the data (left panel), model (middle panel), and residuals (right panel).

Missing file NGC4125_GROUP-custom-montage-grz.png
Missing file NGC4125_GROUP-custom-montage-FUVNUV.png
Missing file NGC4125_GROUP-custom-montage-W1W2.png

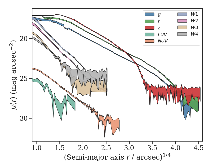
Elliptical Isophote Analysis

Geometry

Tractor Ellipse Moments Surface Brightness
Threshold Radii
(arcsec)
Half-light Radii
(arcsec)
Galaxy Typenr(50)
(arcsec)
PA
(deg)
e Size
(arcsec)
PA
(deg)
e R(24)R(25)R(26) g(50)r(50)z(50)
NGC4125 SER1.026.73079.940.325 159.52477.760.268 168.142210.387249.501 109.99295.01050.216
NGC4121 SER2.574.84597.180.259 22.65596.750.202 30.05994.95194.802 13.47613.45412.238

Photometry

Tractor Curve of Growth
Galaxy FUVNUVgrzW1W2W3W4 FUVNUVgrzW1W2W3W4
NGC4125 21.92818.00312.37411.45710.83011.02711.73912.39712.294 17.79515.23710.1449.4229.3309.0709.82811.35811.294
NGC4121 >22.95919.33214.05813.26412.76413.19013.83314.96516.395 22.21918.25113.92213.11612.76010.32412.10015.27613.272

NGC4125

Missing file thumb-NGC4125_GROUP-custom-ellipse-240-multiband-FUVNUV.png
Missing file thumb-NGC4125_GROUP-custom-ellipse-240-multiband.png
Missing file thumb-NGC4125_GROUP-custom-ellipse-240-multiband-W1W2.png

Missing file NGC4125_GROUP-custom-ellipse-240-sbprofile.png Missing file NGC4125_GROUP-custom-ellipse-240-cog.png
Missing file NGC4125_GROUP-custom-ellipse-240-sed.png

NGC4121

Missing file thumb-NGC4125_GROUP-custom-ellipse-243-multiband-FUVNUV.png
Missing file thumb-NGC4125_GROUP-custom-ellipse-243-multiband.png
Missing file thumb-NGC4125_GROUP-custom-ellipse-243-multiband-W1W2.png

Missing file NGC4125_GROUP-custom-ellipse-243-sbprofile.png Missing file NGC4125_GROUP-custom-ellipse-243-cog.png
Missing file NGC4125_GROUP-custom-ellipse-243-sed.png


Home
Next (UGC05576)
Previous (SDSSJ121224.37+651027.0)

Last updated