UGC07153

RA Slice 182

Home
Next (PGC042889)
Previous (UGC08237)

Group Properties

ID
(Primary)
Group Name Group RA Group Dec Group Diameter
(arcmin)
Viewer
395 UGC07153 182.4455379 62.2683186 3.2143 Link

Group Members

ID Galaxy RA Dec D(25)
(arcmin)
395 UGC07153 182.4455379 62.2683186 3.2143

Image Mosaics

Color mosaics showing the data (left panel), model (middle panel), and residuals (right panel).

Missing file UGC07153-custom-montage-grz.png
Missing file UGC07153-custom-montage-FUVNUV.png
Missing file UGC07153-custom-montage-W1W2.png

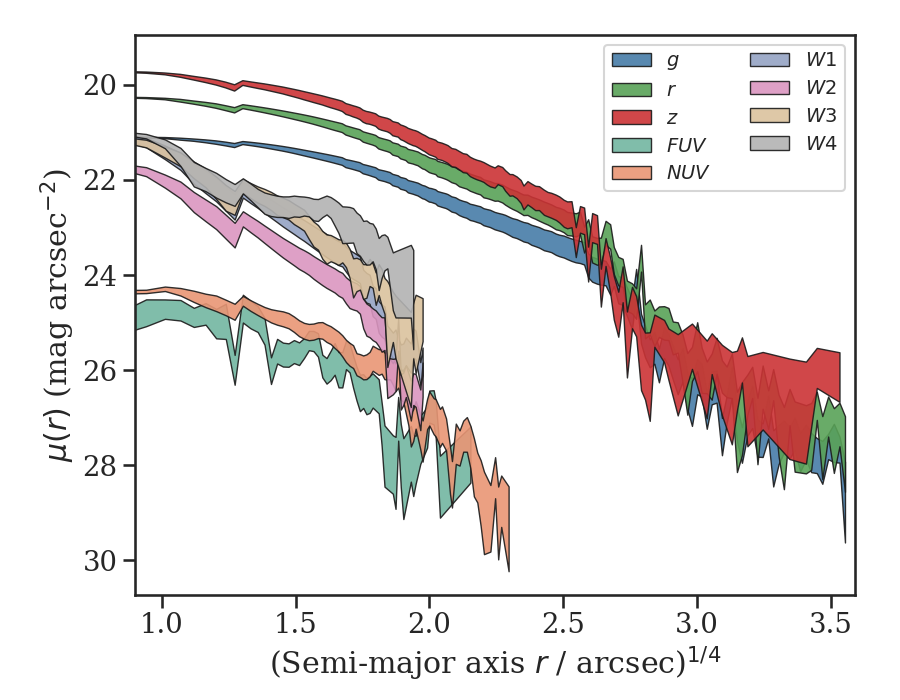
Elliptical Isophote Analysis

Geometry

Tractor Ellipse Moments Surface Brightness
Threshold Radii
(arcsec)
Half-light Radii
(arcsec)
Galaxy Typenr(50)
(arcsec)
PA
(deg)
e Size
(arcsec)
PA
(deg)
e R(24)R(25)R(26) g(50)r(50)z(50)
UGC07153 SER1.0718.857165.490.753 71.335165.710.820 54.31266.60091.572 24.65922.77817.557

Photometry

Tractor Curve of Growth
Galaxy FUVNUVgrzW1W2W3W4 FUVNUVgrzW1W2W3W4
UGC07153 >22.02817.88915.12014.52214.15314.57415.10913.99013.423 17.19516.70814.39513.90713.93013.61414.46914.01213.820

UGC07153

Missing file thumb-UGC07153-custom-ellipse-395-multiband-FUVNUV.png
Missing file thumb-UGC07153-custom-ellipse-395-multiband.png
Missing file thumb-UGC07153-custom-ellipse-395-multiband-W1W2.png

Missing file UGC07153-custom-ellipse-395-sbprofile.png Missing file UGC07153-custom-ellipse-395-cog.png
Missing file UGC07153-custom-ellipse-395-sed.png


Home
Next (PGC042889)
Previous (UGC08237)

Last updated