NGC4178

RA Slice 183

Home
Next (NGC4067)
Previous (IC3371)

Group Properties

ID
(Primary)
Group Name Group RA Group Dec Group Diameter
(arcmin)
Viewer
5012 NGC4178 183.1934728 10.8661254 13.3219 Link

Group Members

ID Galaxy RA Dec D(25)
(arcmin)
5012 NGC4178 183.1934728 10.8661254 13.3219

Image Mosaics

Color mosaics showing the data (left panel), model (middle panel), and residuals (right panel).

Missing file NGC4178-custom-montage-grz.png
Missing file NGC4178-custom-montage-FUVNUV.png
Missing file NGC4178-custom-montage-W1W2.png

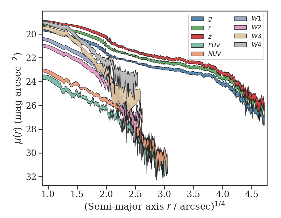
Elliptical Isophote Analysis

Geometry

Tractor Ellipse Moments Surface Brightness
Threshold Radii
(arcsec)
Half-light Radii
(arcsec)
Galaxy Typenr(50)
(arcsec)
PA
(deg)
e Size
(arcsec)
PA
(deg)
e R(24)R(25)R(26) g(50)r(50)z(50)
NGC4178 SER2.0025.29235.550.681 399.65532.250.706 281.860361.331436.559 64.40863.15362.228

Photometry

Tractor Curve of Growth
Galaxy FUVNUVgrzW1W2W3W4 FUVNUVgrzW1W2W3W4
NGC4178 >21.982>22.18114.27813.70313.25314.17815.149>17.497>14.820 14.21513.68611.60011.07610.66711.10511.65310.7859.998

NGC4178

Missing file thumb-NGC4178-custom-ellipse-5012-multiband-FUVNUV.png
Missing file thumb-NGC4178-custom-ellipse-5012-multiband.png
Missing file thumb-NGC4178-custom-ellipse-5012-multiband-W1W2.png

Missing file NGC4178-custom-ellipse-5012-sbprofile.png Missing file NGC4178-custom-ellipse-5012-cog.png
Missing file NGC4178-custom-ellipse-5012-sed.png


Home
Next (NGC4067)
Previous (IC3371)

Last updated