UGC07428

RA Slice 185

Home
Next (UGC08605)
Previous (PGC1980945)

Group Properties

ID
(Primary)
Group Name Group RA Group Dec Group Diameter
(arcmin)
Viewer
2742 UGC07428 185.5109386 32.0958053 2.1820 Link

Group Members

ID Galaxy RA Dec D(25)
(arcmin)
2742 UGC07428 185.5109386 32.0958053 2.1820

Image Mosaics

Color mosaics showing the data (left panel), model (middle panel), and residuals (right panel).

Missing file UGC07428-custom-montage-grz.png
Missing file UGC07428-custom-montage-FUVNUV.png
Missing file UGC07428-custom-montage-W1W2.png

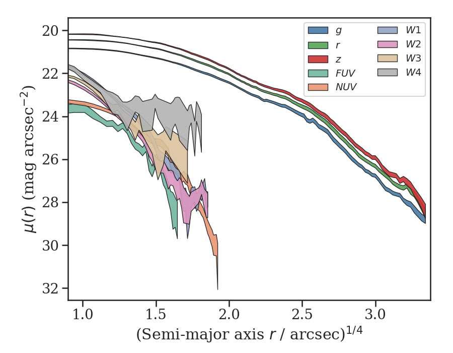
Elliptical Isophote Analysis

Geometry

Tractor Ellipse Moments Surface Brightness
Threshold Radii
(arcsec)
Half-light Radii
(arcsec)
Galaxy Typenr(50)
(arcsec)
PA
(deg)
e Size
(arcsec)
PA
(deg)
e R(24)R(25)R(26) g(50)r(50)z(50)
UGC07428 SER1.2114.8027.770.185 65.4604.380.380 44.86958.62673.849 36.21937.98338.921

Photometry

Tractor Curve of Growth
Galaxy FUVNUVgrzW1W2W3W4 FUVNUVgrzW1W2W3W4
UGC07428 21.41516.46614.37013.93213.64314.41715.02914.60713.401 15.66515.68913.74413.30913.03313.99114.71014.50713.603

UGC07428

Missing file thumb-UGC07428-custom-ellipse-2742-multiband-FUVNUV.png
Missing file thumb-UGC07428-custom-ellipse-2742-multiband.png
Missing file thumb-UGC07428-custom-ellipse-2742-multiband-W1W2.png

Missing file UGC07428-custom-ellipse-2742-sbprofile.png Missing file UGC07428-custom-ellipse-2742-cog.png
Missing file UGC07428-custom-ellipse-2742-sed.png


Home
Next (UGC08605)
Previous (PGC1980945)

Last updated