NGC4578

RA Slice 189

Home
Next (IC3167)
Previous (PGC1366921)

Group Properties

ID
(Primary)
Group Name Group RA Group Dec Group Diameter
(arcmin)
Viewer
5198 NGC4578 189.3773389 9.5550706 4.6701 Link

Group Members

ID Galaxy RA Dec D(25)
(arcmin)
5198 NGC4578 189.3773389 9.5550706 4.6701

Image Mosaics

Color mosaics showing the data (left panel), model (middle panel), and residuals (right panel).

Missing file NGC4578-custom-montage-grz.png
Missing file NGC4578-custom-montage-FUVNUV.png
Missing file NGC4578-custom-montage-W1W2.png

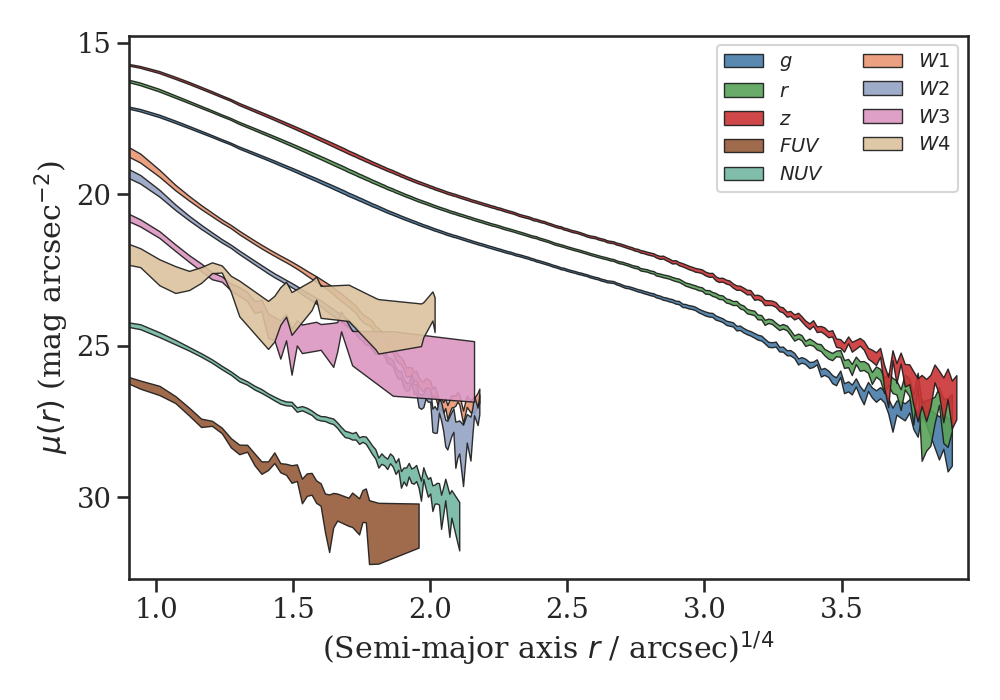
Elliptical Isophote Analysis

Geometry

Tractor Ellipse Moments Surface Brightness
Threshold Radii
(arcsec)
Half-light Radii
(arcsec)
Galaxy Typenr(50)
(arcsec)
PA
(deg)
e Size
(arcsec)
PA
(deg)
e R(24)R(25)R(26) g(50)r(50)z(50)
NGC4578 SER4.5031.72130.940.267 89.56632.410.293 102.922135.176173.838 343.181392.026842.898

Photometry

Tractor Curve of Growth
Galaxy FUVNUVgrzW1W2W3W4 FUVNUVgrzW1W2W3W4
NGC4578 22.08317.18011.85211.06310.45810.94511.58212.63513.991 18.72715.99610.7299.9359.13910.74911.39913.18713.132

NGC4578

Missing file thumb-NGC4578-custom-ellipse-5198-multiband-FUVNUV.png
Missing file thumb-NGC4578-custom-ellipse-5198-multiband.png
Missing file thumb-NGC4578-custom-ellipse-5198-multiband-W1W2.png

Missing file NGC4578-custom-ellipse-5198-sbprofile.png Missing file NGC4578-custom-ellipse-5198-cog.png
Missing file NGC4578-custom-ellipse-5198-sed.png


Home
Next (IC3167)
Previous (PGC1366921)

Last updated