NGC5216

RA Slice 203

Home
Next (PGC3138016)
Previous (PGC101469)

Group Properties

ID
(Primary)
Group Name Group RA Group Dec Group Diameter
(arcmin)
Viewer
375 NGC5216 203.0288103 62.7006596 3.0134 Link

Group Members

ID Galaxy RA Dec D(25)
(arcmin)
375 NGC5216 203.0288103 62.7006596 3.0134

Image Mosaics

Color mosaics showing the data (left panel), model (middle panel), and residuals (right panel).

Missing file NGC5216-custom-montage-grz.png
Missing file NGC5216-custom-montage-FUVNUV.png
Missing file NGC5216-custom-montage-W1W2.png

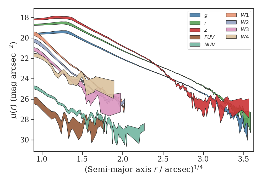
Elliptical Isophote Analysis

Geometry

Tractor Ellipse Moments Surface Brightness
Threshold Radii
(arcsec)
Half-light Radii
(arcsec)
Galaxy Typenr(50)
(arcsec)
PA
(deg)
e Size
(arcsec)
PA
(deg)
e R(24)R(25)R(26) g(50)r(50)z(50)
NGC5216 SER3.6917.08584.320.059 71.68743.080.364 62.13285.850110.653 121.56787.68016.070

Photometry

Tractor Curve of Growth
Galaxy FUVNUVgrzW1W2W3W4 FUVNUVgrzW1W2W3W4
NGC5216 >22.46720.44613.26112.41011.89212.27012.89613.34113.672 16.97217.18512.32311.63612.01811.59912.24713.37912.496

NGC5216

Missing file thumb-NGC5216-custom-ellipse-375-multiband-FUVNUV.png
Missing file thumb-NGC5216-custom-ellipse-375-multiband.png
Missing file thumb-NGC5216-custom-ellipse-375-multiband-W1W2.png

Missing file NGC5216-custom-ellipse-375-sbprofile.png Missing file NGC5216-custom-ellipse-375-cog.png
Missing file NGC5216-custom-ellipse-375-sed.png


Home
Next (PGC3138016)
Previous (PGC101469)

Last updated