Galaxy 39627746120305558

Home
Next (39627770304664551)
Previous (39627770275304349)

Galaxy Properties

Galaxy RA Dec Redshift Viewer
39627746120305558 218.8858590 -1.7620746 0.08894 Link

Image Mosaics

Color mosaics showing (from left to right) the data, Tractor model, and residuals.

Missing file 39627746120305558-custom-montage-grz.png

Elliptical Isophote Analysis

Geometry

Tractor Ellipse Moments Surface Brightness
Threshold Radii
(arcsec)
Half-light Radii
(arcsec)
Galaxy Typenr(50)
(arcsec)
PA
(deg)
e Size
(arcsec)
PA
(deg)
e R(24)R(25)R(26) g(50)r(50)z(50)
39627746120305558 SER0.954.42811.200.367 11.64915.950.346 10.37412.34314.665 6.8396.3385.960

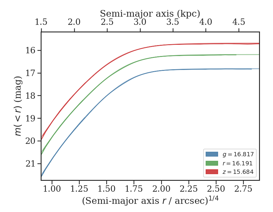
Photometry

Tractor Curve of Growth
Galaxy grz grz
39627746120305558 16.87016.18415.613 16.81716.19115.684

39627746120305558

Missing file thumb-39627746120305558-custom-ellipse-39627746120305558-multiband.png

Missing file 39627746120305558-custom-ellipse-39627746120305558-sbprofile.png Missing file 39627746120305558-custom-ellipse-39627746120305558-cog.png


Home
Next (39627770304664551)
Previous (39627770275304349)

Last updated