Galaxy 39627752164299081

Home
Next (39627800486871430)
Previous (39627770304664551)

Galaxy Properties

Galaxy RA Dec Redshift Viewer
39627752164299081 219.1857802 -1.4508408 0.08534 Link

Image Mosaics

Color mosaics showing (from left to right) the data, Tractor model, and residuals.

Missing file 39627752164299081-custom-montage-grz.png

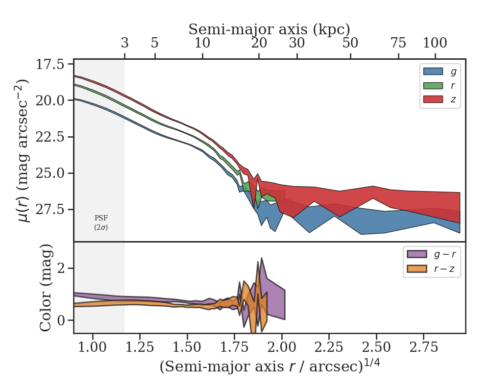
Elliptical Isophote Analysis

Geometry

Tractor Ellipse Moments Surface Brightness
Threshold Radii
(arcsec)
Half-light Radii
(arcsec)
Galaxy Typenr(50)
(arcsec)
PA
(deg)
e Size
(arcsec)
PA
(deg)
e R(24)R(25)R(26) g(50)r(50)z(50)
39627752164299081 SER4.933.078163.820.393 11.126154.830.443 8.1509.70411.833 3.6004.3253.295

Photometry

Tractor Curve of Growth
Galaxy grz grz
39627752164299081 17.24416.38915.737 17.24616.25015.801

39627752164299081

Missing file thumb-39627752164299081-custom-ellipse-39627752164299081-multiband.png

Missing file 39627752164299081-custom-ellipse-39627752164299081-sbprofile.png Missing file 39627752164299081-custom-ellipse-39627752164299081-cog.png


Home
Next (39627800486871430)
Previous (39627770304664551)

Last updated