Galaxy 39627847630851313

Home
Next (39627841624608915)
Previous (39627811396257648)

Galaxy Properties

Galaxy RA Dec Redshift Viewer
39627847630851313 149.3983819 2.5824944 0.10142 Link

Image Mosaics

Color mosaics showing (from left to right) the data, Tractor model, and residuals.

Missing file 39627847630851313-custom-montage-grz.png

Elliptical Isophote Analysis

Geometry

Tractor Ellipse Moments Surface Brightness
Threshold Radii
(arcsec)
Half-light Radii
(arcsec)
Galaxy Typenr(50)
(arcsec)
PA
(deg)
e Size
(arcsec)
PA
(deg)
e R(24)R(25)R(26) g(50)r(50)z(50)
39627847630851313 SER5.273.740114.880.250 11.355113.380.075 8.76410.61712.412 30.45422.74916.763

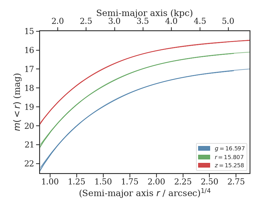
Photometry

Tractor Curve of Growth
Galaxy grz grz
39627847630851313 16.79315.85615.153 16.59715.80715.258

39627847630851313

Missing file thumb-39627847630851313-custom-ellipse-39627847630851313-multiband.png

Missing file 39627847630851313-custom-ellipse-39627847630851313-sbprofile.png Missing file 39627847630851313-custom-ellipse-39627847630851313-cog.png


Home
Next (39627841624608915)
Previous (39627811396257648)

Last updated