Galaxy 39627866907872678

Home
Next (39627842723517097)
Previous (39627740088895720)

Galaxy Properties

Galaxy RA Dec Redshift Viewer
39627866907872678 218.6903670 3.3402383 0.02751 Link

Image Mosaics

Color mosaics showing (from left to right) the data, Tractor model, and residuals.

Missing file 39627866907872678-custom-montage-grz.png

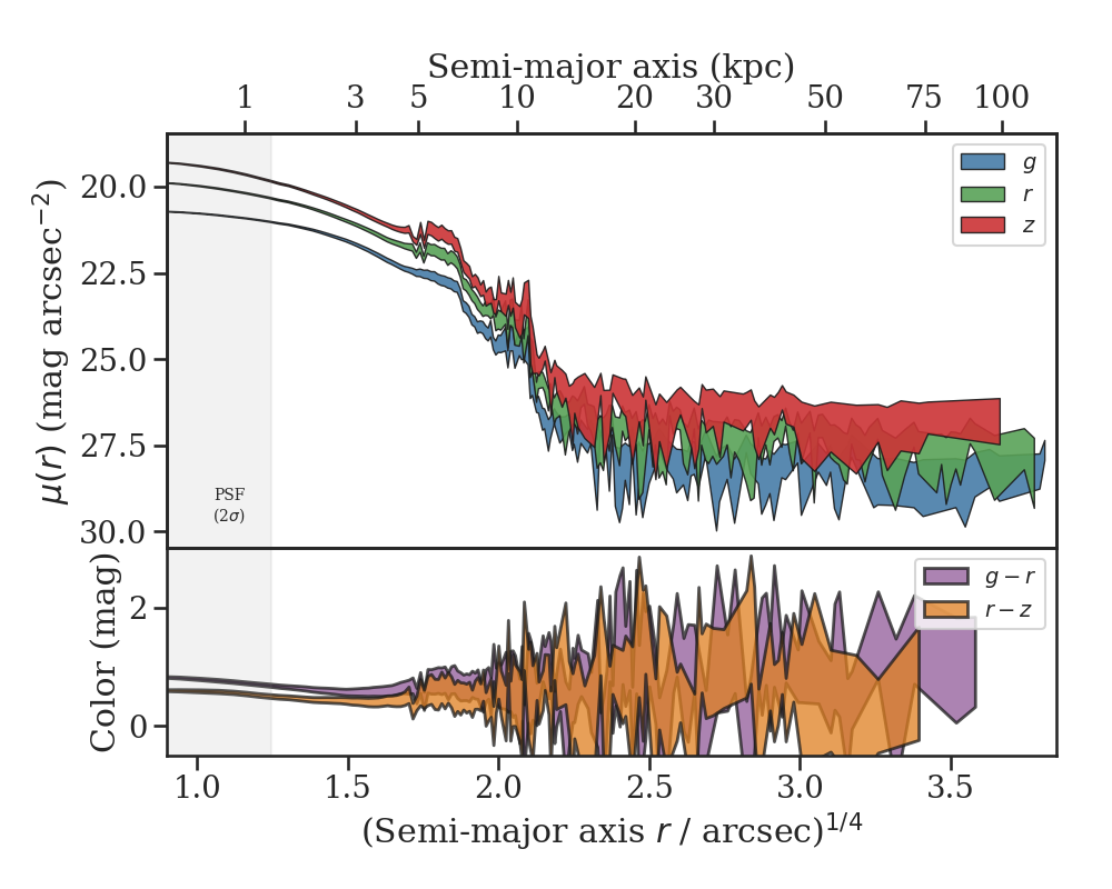
Elliptical Isophote Analysis

Geometry

Tractor Ellipse Moments Surface Brightness
Threshold Radii
(arcsec)
Half-light Radii
(arcsec)
Galaxy Typenr(50)
(arcsec)
PA
(deg)
e Size
(arcsec)
PA
(deg)
e R(24)R(25)R(26) g(50)r(50)z(50)
39627866907872678 SER0.875.48046.130.640 16.44146.130.640 16.66919.54228.608 7.3298.0008.545

Photometry

Tractor Curve of Growth
Galaxy grz grz
39627866907872678 16.58315.94615.484 16.02515.34214.744

39627866907872678

Missing file thumb-39627866907872678-custom-ellipse-39627866907872678-multiband.png

Missing file 39627866907872678-custom-ellipse-39627866907872678-sbprofile.png Missing file 39627866907872678-custom-ellipse-39627866907872678-cog.png


Home
Next (39627842723517097)
Previous (39627740088895720)

Last updated