Index of /project/e3sm/terai/v3_ConvAssessment/Phase2/Summary_metrics/ACI

[ICO]NameLast modifiedSizeDescription

[PARENTDIR]Parent Directory  -  
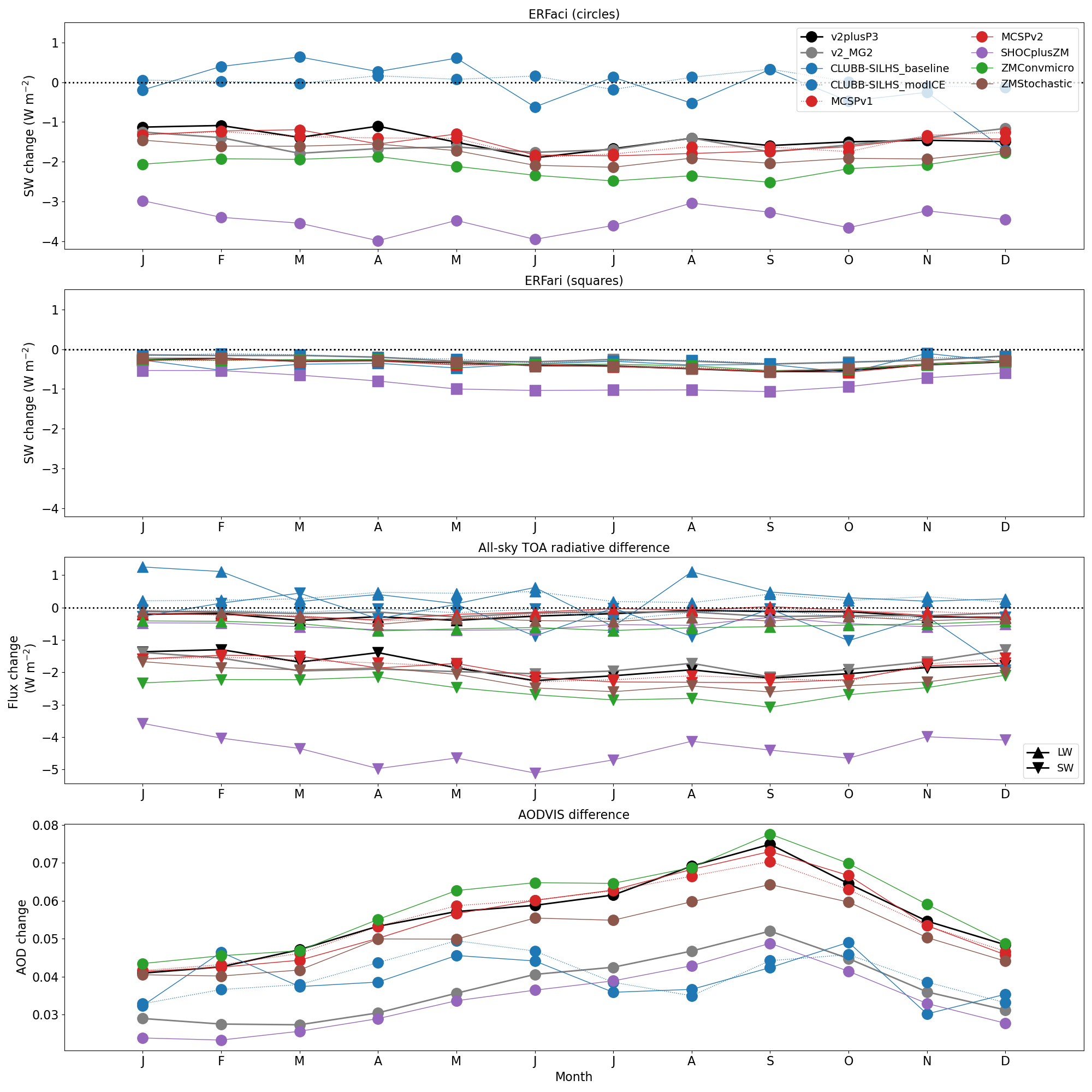
[IMG]GLBmean_AnnualCycle_AllModels.png2021-09-16 22:57 540K 
[IMG]GLBmean_ERFacivsAODchange_AllModels.png2021-09-16 22:57 54K 
[IMG]GLBmean_FLNTvsAODchange_AllModels.png2021-09-16 22:57 55K 
[IMG]GLBmean_FSNTOAvsAODchange_AllModels.png2021-09-16 22:57 52K 
[IMG]GLBmean_RESTOMvsAODchange_AllModels.png2021-09-16 22:57 50K