0000134-048384272

Home
Next (0000147-004625723)
Previous (0000105-028845185)

Cluster Properties

Galaxy RA Dec Redshift Richness Pcen Viewer
0000134-048384272 4.9110692 3.5992569 0.27730 108.6044 0.908 Link

Image Mosaics

Color mosaics showing the data (left panel), model (middle panel), and residuals (right panel).

Missing file 0000134-048384272-custom-grz-montage.png

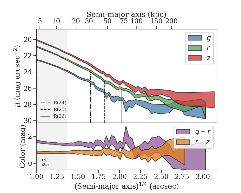
Elliptical Isophote Analysis

Geometry

Tractor ID Ellipse Moments Ellipse Fitting
ID Typenr(50)
(arcsec)
PA
(deg)
e R(25)
(arcsec)
PA
(deg)
e Size
(arcsec)
PA
(deg)
e R(24)
(arcsec)
R(25)
(arcsec)
R(26)
(arcsec)
PA
(deg)
e
48384272 DEV4.006.641156.800.318 ......... ......... ...............

Photometry

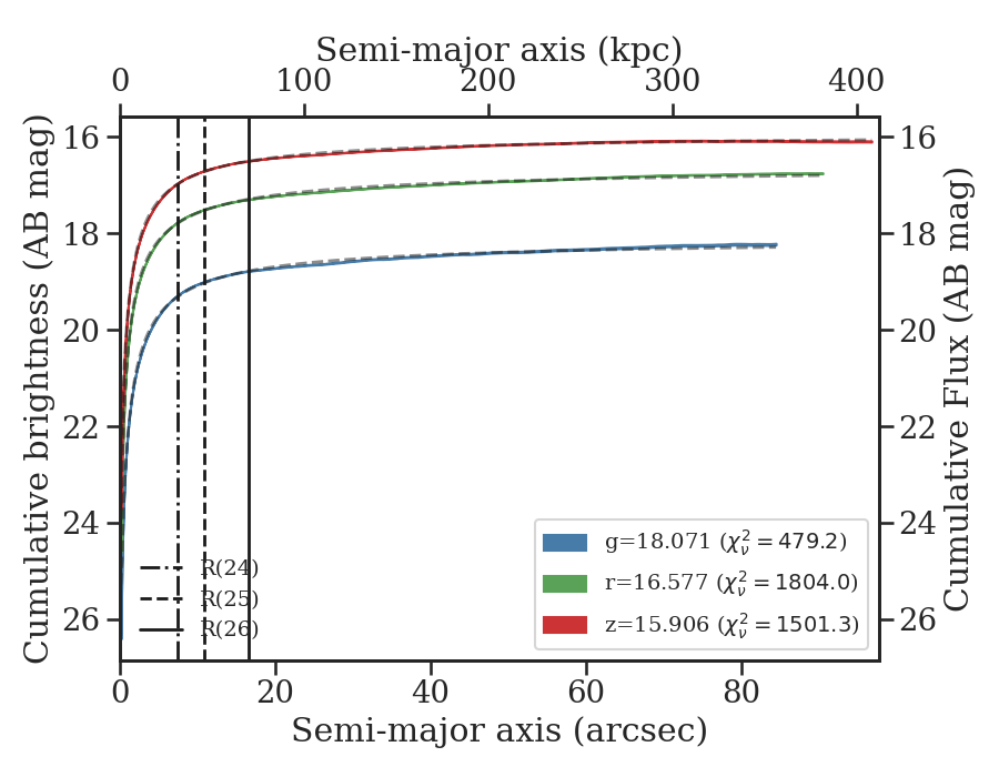
Curve of Growth
Tractor < R(24)
arcsec
< R(25)
arcsec
< R(26)
arcsec
Integrated
IDGalaxy grz grz grz grz grz
48384272 18.45617.01316.149 ......... ......... ......... .........

Missing file thumb-0000134-048384272-custom-ellipse-multiband.png

Missing file 0000134-048384272-custom-ellipse-sbprofile.png Missing file 0000134-048384272-custom-ellipse-cog.png

CCD Diagnostics

Missing file 0000134-048384272-ccdpos.png


Home
Next (0000147-004625723)
Previous (0000105-028845185)

Last updated