0000105-028845185

Home
Next (0000134-048384272)
Previous (0000093-044777014)

Cluster Properties

Galaxy RA Dec Redshift Richness Pcen Viewer
0000105-028845185 163.5730968 14.6511684 0.29708 125.0187 0.996 Link

Image Mosaics

Color mosaics showing the data (left panel), model (middle panel), and residuals (right panel).

Missing file 0000105-028845185-custom-grz-montage.png

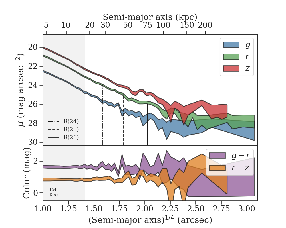
Elliptical Isophote Analysis

Geometry

Tractor ID Ellipse Moments Ellipse Fitting
ID Typenr(50)
(arcsec)
PA
(deg)
e R(25)
(arcsec)
PA
(deg)
e Size
(arcsec)
PA
(deg)
e R(24)
(arcsec)
R(25)
(arcsec)
R(26)
(arcsec)
PA
(deg)
e
28845185 DEV4.005.04069.170.170 ......... ......... ...............

Photometry

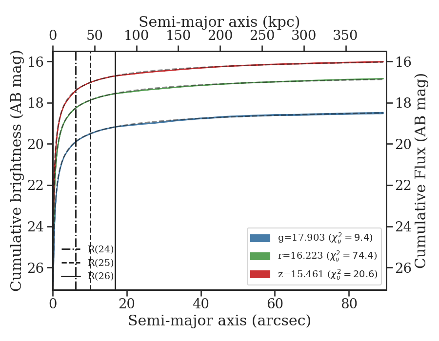
Curve of Growth
Tractor < R(24)
arcsec
< R(25)
arcsec
< R(26)
arcsec
Integrated
IDGalaxy grz grz grz grz grz
28845185 18.76017.14816.327 ......... ......... ......... .........

Missing file thumb-0000105-028845185-custom-ellipse-multiband.png

Missing file 0000105-028845185-custom-ellipse-sbprofile.png Missing file 0000105-028845185-custom-ellipse-cog.png

CCD Diagnostics

Missing file 0000105-028845185-ccdpos.png


Home
Next (0000134-048384272)
Previous (0000093-044777014)

Last updated