0000086-048858718

Home
Next (0000124-046639678)
Previous (0000079-016367888)

Cluster Properties

Galaxy RA Dec Redshift Richness Pcen Viewer
0000086-048858718 329.0357865 1.3909426 0.21736 115.4844 1.000 Link

Image Mosaics

Color mosaics showing the data (left panel), model (middle panel), and residuals (right panel).

Missing file 0000086-048858718-custom-grz-montage.png

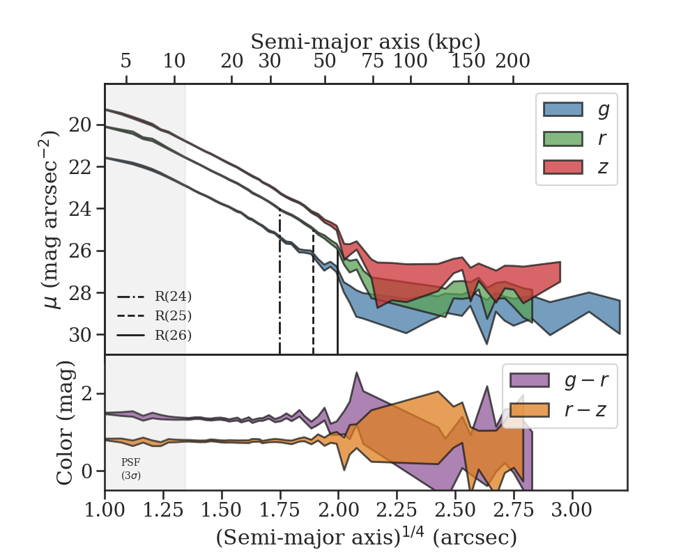
Elliptical Isophote Analysis

Geometry

Tractor ID Ellipse Moments Ellipse Fitting
ID Typenr(50)
(arcsec)
PA
(deg)
e R(25)
(arcsec)
PA
(deg)
e Size
(arcsec)
PA
(deg)
e R(24)
(arcsec)
R(25)
(arcsec)
R(26)
(arcsec)
PA
(deg)
e
48858718 SER1.894.35270.620.281 ......... ......... ...............

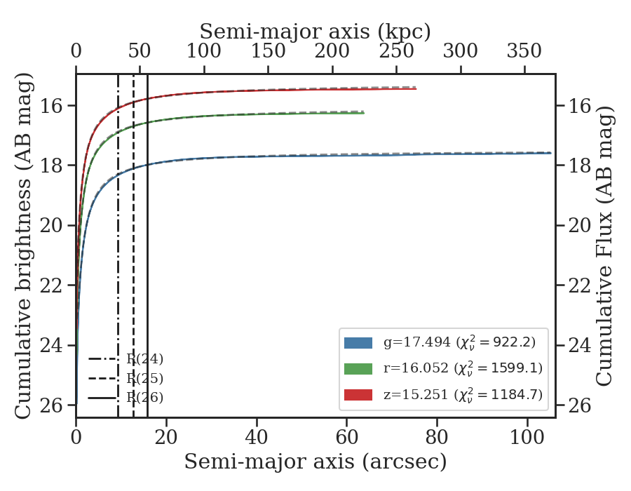
Photometry

Curve of Growth
Tractor < R(24)
arcsec
< R(25)
arcsec
< R(26)
arcsec
Integrated
IDGalaxy grz grz grz grz grz
48858718 17.59116.19815.385 ......... ......... ......... .........

Missing file thumb-0000086-048858718-custom-ellipse-multiband.png

Missing file 0000086-048858718-custom-ellipse-sbprofile.png Missing file 0000086-048858718-custom-ellipse-cog.png

CCD Diagnostics

Missing file 0000086-048858718-ccdpos.png


Home
Next (0000124-046639678)
Previous (0000079-016367888)

Last updated