0000079-016367888

Home
Next (0000086-048858718)
Previous (0000047-043340851)

Cluster Properties

Galaxy RA Dec Redshift Richness Pcen Viewer
0000079-016367888 145.5046344 8.9722027 0.20894 104.7601 0.773 Link

Image Mosaics

Color mosaics showing the data (left panel), model (middle panel), and residuals (right panel).

Missing file 0000079-016367888-custom-grz-montage.png

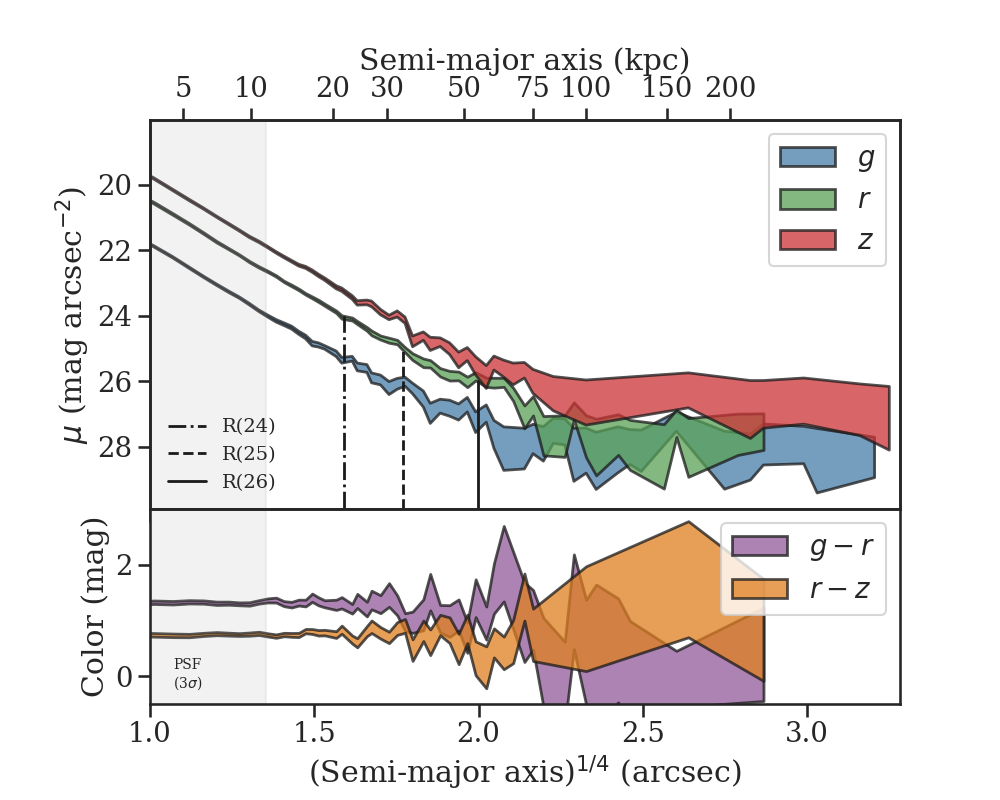
Elliptical Isophote Analysis

Geometry

Tractor ID Ellipse Moments Ellipse Fitting
ID Typenr(50)
(arcsec)
PA
(deg)
e R(25)
(arcsec)
PA
(deg)
e Size
(arcsec)
PA
(deg)
e R(24)
(arcsec)
R(25)
(arcsec)
R(26)
(arcsec)
PA
(deg)
e
16367888 SER4.263.87318.170.089 ......... ......... ...............

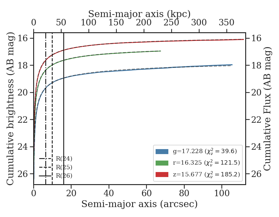
Photometry

Curve of Growth
Tractor < R(24)
arcsec
< R(25)
arcsec
< R(26)
arcsec
Integrated
IDGalaxy grz grz grz grz grz
16367888 18.17016.87316.127 ......... ......... ......... .........

Missing file thumb-0000079-016367888-custom-ellipse-multiband.png

Missing file 0000079-016367888-custom-ellipse-sbprofile.png Missing file 0000079-016367888-custom-ellipse-cog.png

CCD Diagnostics

Missing file 0000079-016367888-ccdpos.png


Home
Next (0000086-048858718)
Previous (0000047-043340851)

Last updated