0000047-043340851

Home
Next (0000079-016367888)
Previous (0000046-048527987)

Cluster Properties

Galaxy RA Dec Redshift Richness Pcen Viewer
0000047-043340851 161.8708789 15.2339118 0.20858 127.6578 0.971 Link

Image Mosaics

Color mosaics showing the data (left panel), model (middle panel), and residuals (right panel).

Missing file 0000047-043340851-custom-grz-montage.png

Elliptical Isophote Analysis

Geometry

Tractor ID Ellipse Moments Ellipse Fitting
ID Typenr(50)
(arcsec)
PA
(deg)
e R(25)
(arcsec)
PA
(deg)
e Size
(arcsec)
PA
(deg)
e R(24)
(arcsec)
R(25)
(arcsec)
R(26)
(arcsec)
PA
(deg)
e
43340851 DEV4.004.924106.460.194 ......... ......... ...............

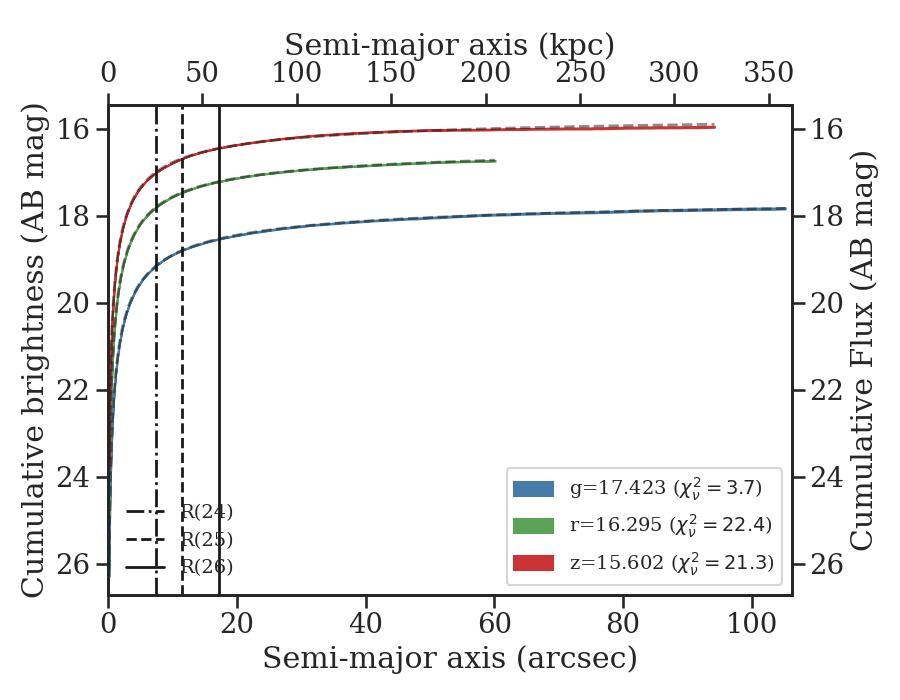
Photometry

Curve of Growth
Tractor < R(24)
arcsec
< R(25)
arcsec
< R(26)
arcsec
Integrated
IDGalaxy grz grz grz grz grz
43340851 18.21516.89416.091 ......... ......... ......... .........

Missing file thumb-0000047-043340851-custom-ellipse-multiband.png

Missing file 0000047-043340851-custom-ellipse-sbprofile.png Missing file 0000047-043340851-custom-ellipse-cog.png

CCD Diagnostics

Missing file 0000047-043340851-ccdpos.png


Home
Next (0000079-016367888)
Previous (0000046-048527987)

Last updated