0000046-048527987

Home
Next (0000047-043340851)
Previous (0000045-024255170)

Cluster Properties

Galaxy RA Dec Redshift Richness Pcen Viewer
0000046-048527987 346.7812456 16.5461289 0.24772 130.1749 0.949 Link

Image Mosaics

Color mosaics showing the data (left panel), model (middle panel), and residuals (right panel).

Missing file 0000046-048527987-custom-grz-montage.png

Elliptical Isophote Analysis

Geometry

Tractor ID Ellipse Moments Ellipse Fitting
ID Typenr(50)
(arcsec)
PA
(deg)
e R(25)
(arcsec)
PA
(deg)
e Size
(arcsec)
PA
(deg)
e R(24)
(arcsec)
R(25)
(arcsec)
R(26)
(arcsec)
PA
(deg)
e
48527987 DEV4.007.59038.600.324 ......... ......... ...............

Photometry

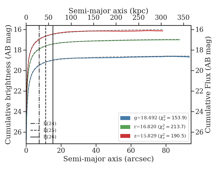
Curve of Growth
Tractor < R(24)
arcsec
< R(25)
arcsec
< R(26)
arcsec
Integrated
IDGalaxy grz grz grz grz grz
48527987 18.58617.02415.973 ......... ......... ......... .........

Missing file thumb-0000046-048527987-custom-ellipse-multiband.png

Missing file 0000046-048527987-custom-ellipse-sbprofile.png Missing file 0000046-048527987-custom-ellipse-cog.png

CCD Diagnostics

Missing file 0000046-048527987-ccdpos.png


Home
Next (0000047-043340851)
Previous (0000045-024255170)

Last updated